🇳🇴 🇬🇧 🇩🇪 🇨🇿 🇫🇮

Meteor über Åre 2024-11-23 20:33:28 UTC

KML-Datei  |  Interaktive Karte

Die Karte zeigt die Peilungen für den Meteor. Die helleren Linien zeigen die Richtungen von den Beobachtungsorten beim Erscheinen des Meteors, und die dunkleren Linien, wo er zuletzt gesehen wurde. Der blaue Pfeil zeigt die sichtbare Bahn des Meteors.

static map
height profile
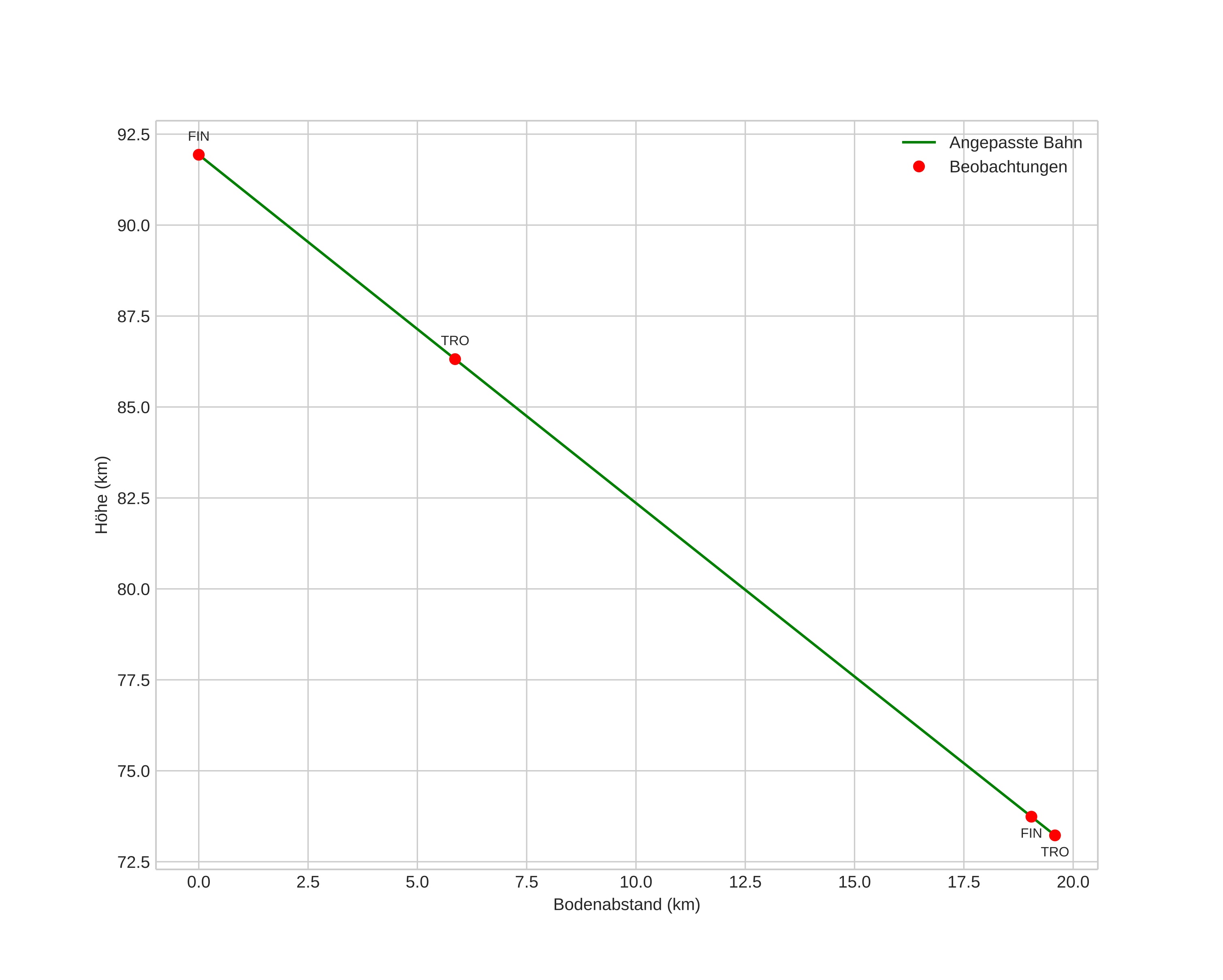
Atmosphärische Bahn des Meteors:
Anfangshöhe: 95,3 km
Endhöhe: 73,5 km
Startposition: 63,130N 13,332E
Endposition: 63,239N 12,952E
Richtung: 302,6°
Neigungswinkel: 44,0°
Eintrittsgeschwindigkeit: 28,3 km/s
Rektaszension des Radianten: 04:30 (67,7°)
Deklination des Radianten: 24,6°
Meteorstrom: Nördliche Tauriden
Bahnelemente des Meteoroiden:
Periheldistanz: 0,432 AU
Exzentrizität: 0,795
Inklination: 2,6°
Länge des aufsteigenden Knotens: 241,6°
Argument des Perihels: 285,7°
Mittlere Anomalie: 345,8°
Epoche: 2024 NOV 23 20:33:28
orbit plot

Nicht-interaktives Diagramm | Interaktives Diagramm

position vs time
speed and acceleration