🇳🇴 🇬🇧 🇩🇪 🇨🇿 🇫🇮

Meteor, poloha: Dokka 2024-11-23 20:39:31 UTC

Soubor KML  |  InteraktivnĂ­ mapa

Mapa zobrazuje dráhy meteoru. Světlejší čáry ukazují směry od pozorovacích stanic při objevení se meteoru a tmavší čáry, kde byl naposledy viděn. Modrá šipka značí viditelnou dráhu meteoru.

static map
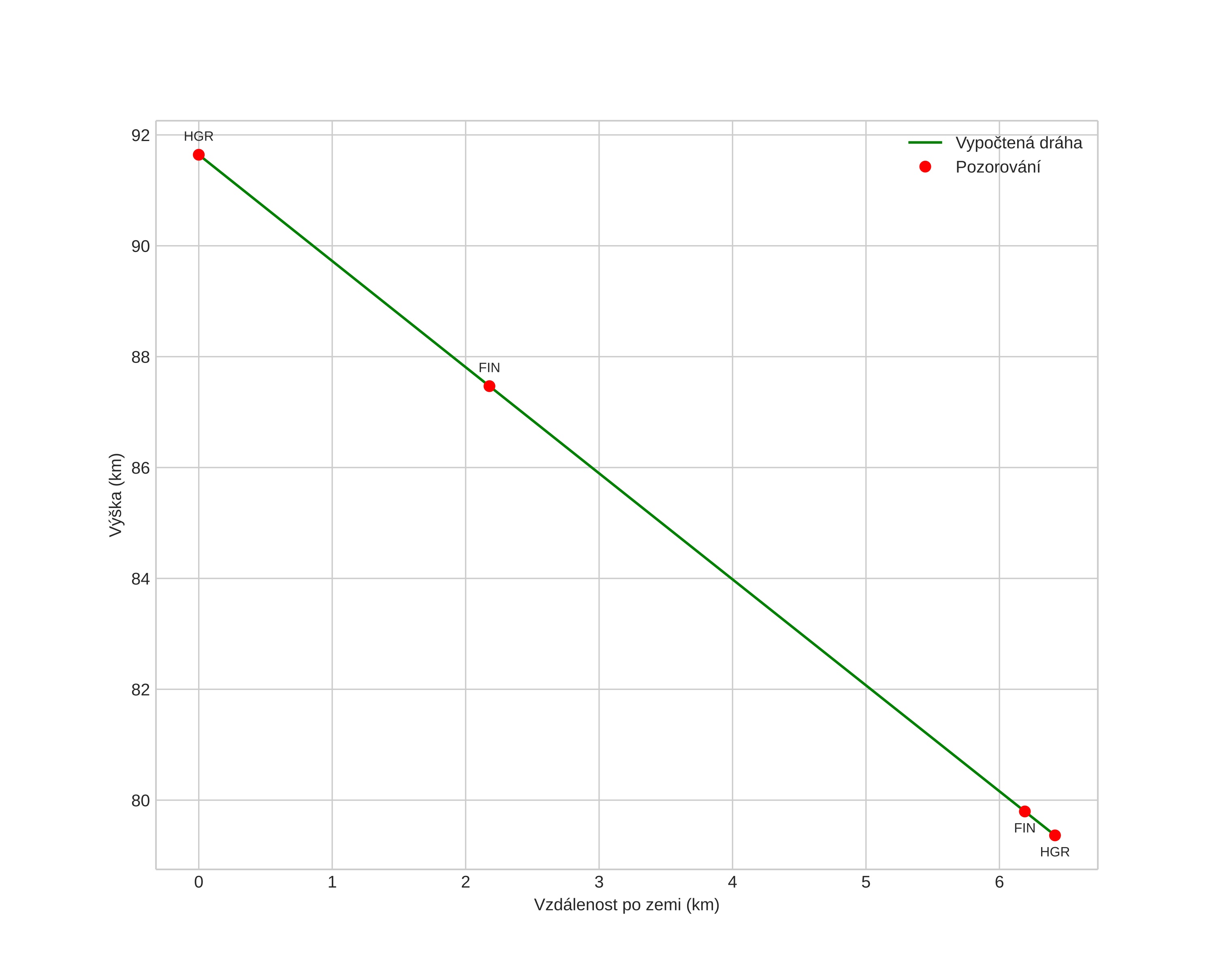
height profile
Atmosférická dráha meteoru:
Počáteční výška: 91,5 km
Konečná výška: 79,5 km
Počáteční poloha: 61,007N 10,244E
Konečná poloha: 60,996N 10,133E
Směr: 258,3°
Sklon: 63,0°
VstupnĂ­ rychlost: 49,0 km/s
Rektascenze radiantu: 04:58 (74,5°)
Deklinace radiantu: 55,4°
MeteorickĂ˝ roj: sporadickĂ˝
Elementy dráhy meteoroidu:
Vzdálenost v periheliu: 0,456 AU
Excentricita: 1,337
Sklon dráhy: 55,1°
Délka vzestupného uzlu: 241,7°
Argument perihelia: 266,6°
Střední anomálie: -20,0°
Epocha: 2024 NOV 23 20:39:31
orbit plot

NeinteraktivnĂ­ graf | InteraktivnĂ­ graf

position vs time
speed and acceleration