🇳🇴 🇬🇧 🇩🇪 🇨🇿 🇫🇮

Meteor, poloha: Mjøndalen 2024-11-25 23:51:31 UTC

Soubor KML  |  InteraktivnĂ­ mapa

Mapa zobrazuje dráhy meteoru. Světlejší čáry ukazují směry od pozorovacích stanic při objevení se meteoru a tmavší čáry, kde byl naposledy viděn. Modrá šipka značí viditelnou dráhu meteoru.

static map
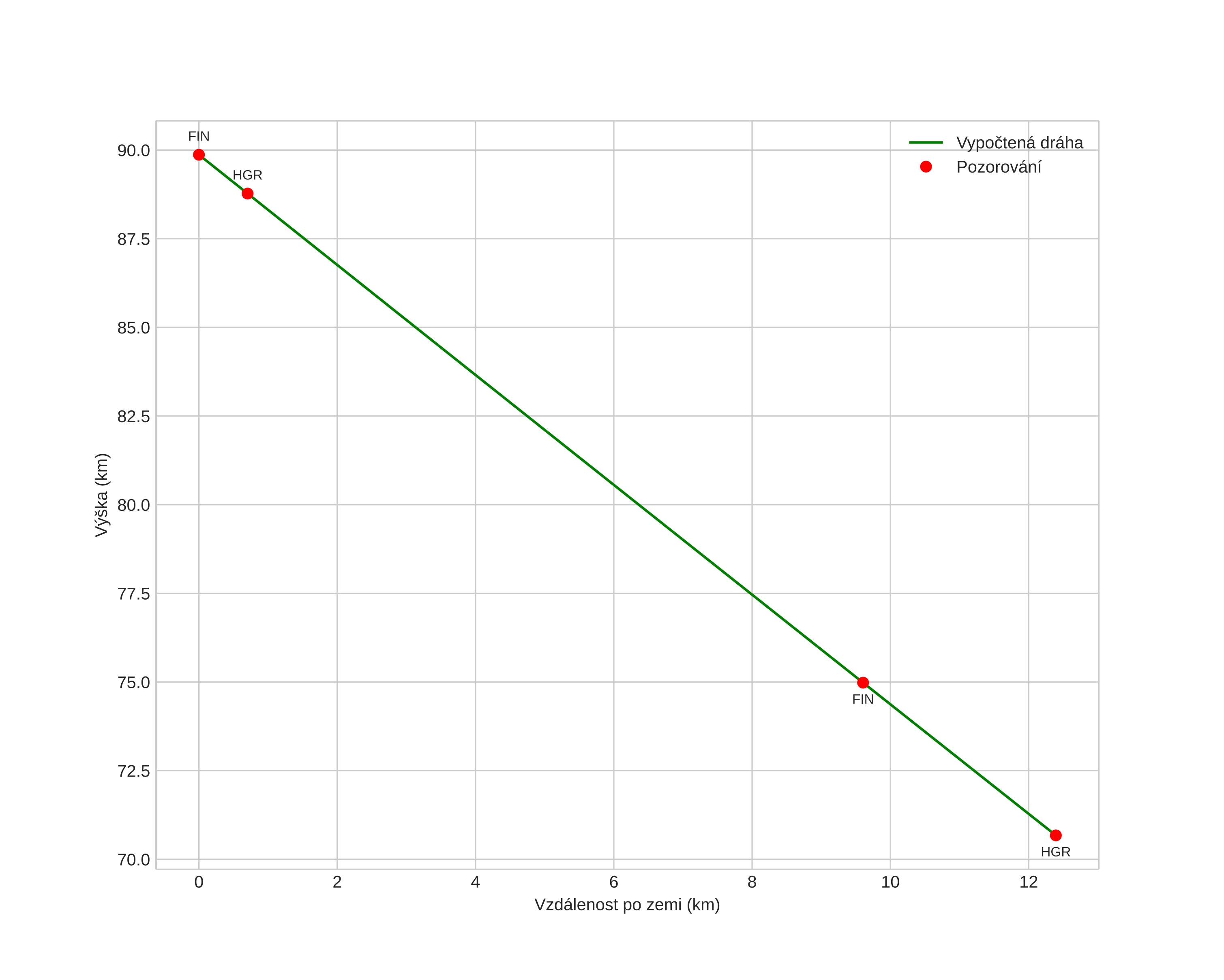
height profile
Atmosférická dráha meteoru:
Počáteční výška: 89,8 km
Konečná výška: 70,7 km
Počáteční poloha: 59,577N 10,077E
Konečná poloha: 59,686N 10,029E
Směr: 347,5°
Sklon: 57,0°
VstupnĂ­ rychlost: 32,6 km/s
Rektascenze radiantu: 05:20 (80,1°)
Deklinace radiantu: 25,9°
MeteorickĂ˝ roj: SevernĂ­ Tauridy
Elementy dráhy meteoroidu:
Vzdálenost v periheliu: 0,265 AU
Excentricita: 0,856
Sklon dráhy: 4,0°
Délka vzestupného uzlu: 243,8°
Argument perihelia: 305,8°
Střední anomálie: 344,1°
Epocha: 2024 NOV 25 23:51:31
orbit plot

NeinteraktivnĂ­ graf | InteraktivnĂ­ graf

position vs time
speed and acceleration