🇳🇴 🇬🇧 🇩🇪 🇨🇿 🇫🇮

Meteor Kongsvingerin yllä 2024-11-26 00:02:05 UTC

KML-tiedosto  |  Interaktiivinen kartta

Kartta näyttää meteorin suuntahavainnot. Vaaleammat viivat näyttävät suunnat havaintoasemilta meteorin ilmestyessä, ja tummemmat viivat näyttävät, missä se viimeksi nähtiin. Sininen nuoli näyttää meteorin näkyvän lennon.

static map
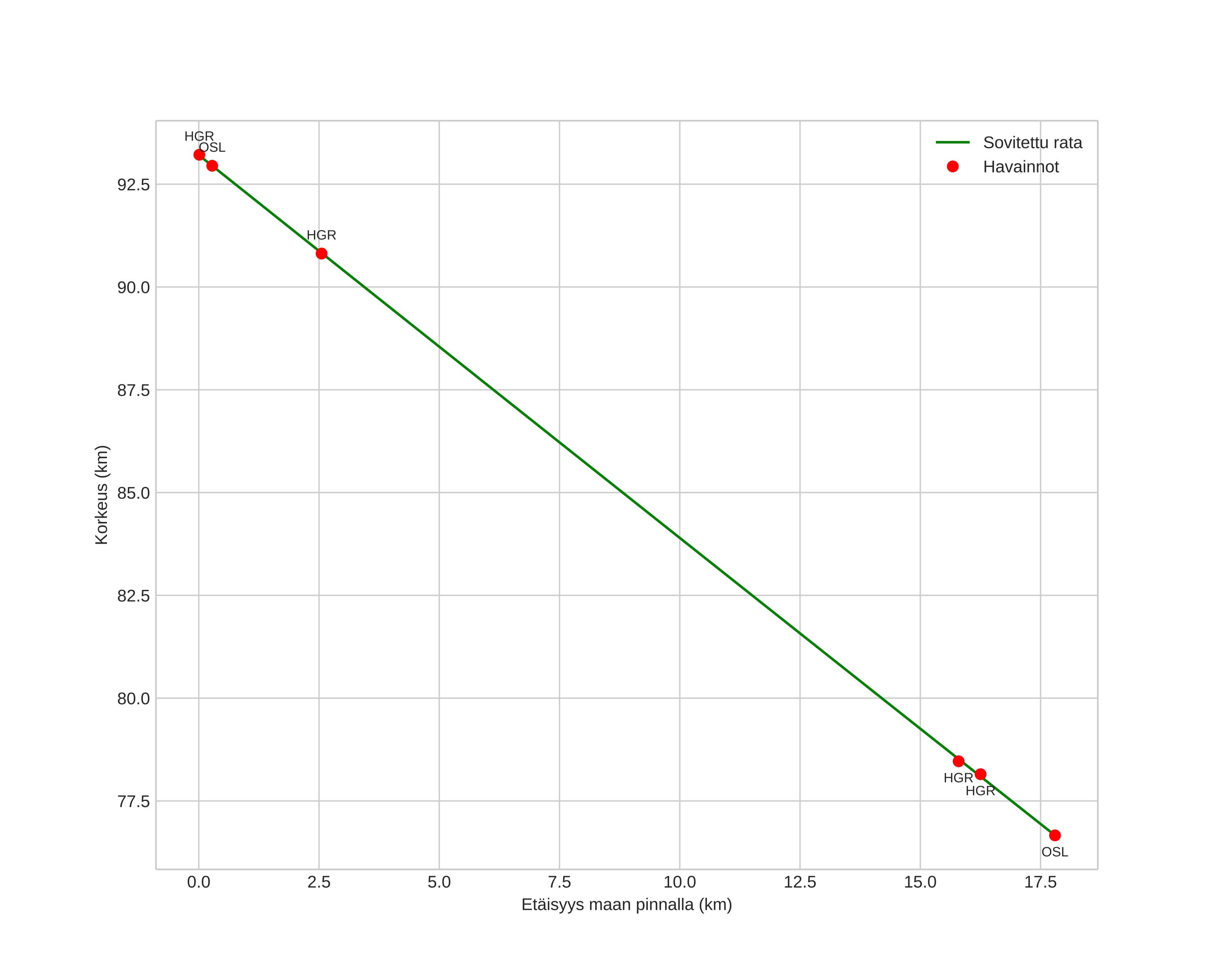
height profile
Meteorin ilmakehärata:
Alkukorkeus: 92,6 km
Loppukorkeus: 75,5 km
Alkupiste: 60,384N 12,238E
Loppupiste: 60,225N 12,249E
Suunta: 178,1°
Kallistuskulma: 44,0°
Tulonopeus: 30,6 km/s
Radiantin R,A,: 17:36 (264,2°)
Radiantin Dekl,: 71,9°
Meteoriparvi: Sporadinen
Meteoroidin rataelementit:
Perihelietäisyys: 0,983 AU
Eksentrisyys: 0,786
Inklinaatio: 45,2°
Nousevan solmun pituus: 243,9°
Perihelin argumentti: 187,5°
Keskianomalia: 359,4°
Epookki: 2024 NOV 26 00:02:05
orbit plot

Ei-interaktiivinen kuvaaja | Interaktiivinen kuvaaja

position vs time
speed and acceleration