🇳🇴 🇬🇧 🇩🇪 🇨🇿 🇫🇮

Meteor Fagernesin yllä 2024-11-27 04:01:32 UTC

KML-tiedosto  |  Interaktiivinen kartta

Kartta näyttää meteorin suuntahavainnot. Vaaleammat viivat näyttävät suunnat havaintoasemilta meteorin ilmestyessä, ja tummemmat viivat näyttävät, missä se viimeksi nähtiin. Sininen nuoli näyttää meteorin näkyvän lennon.

static map
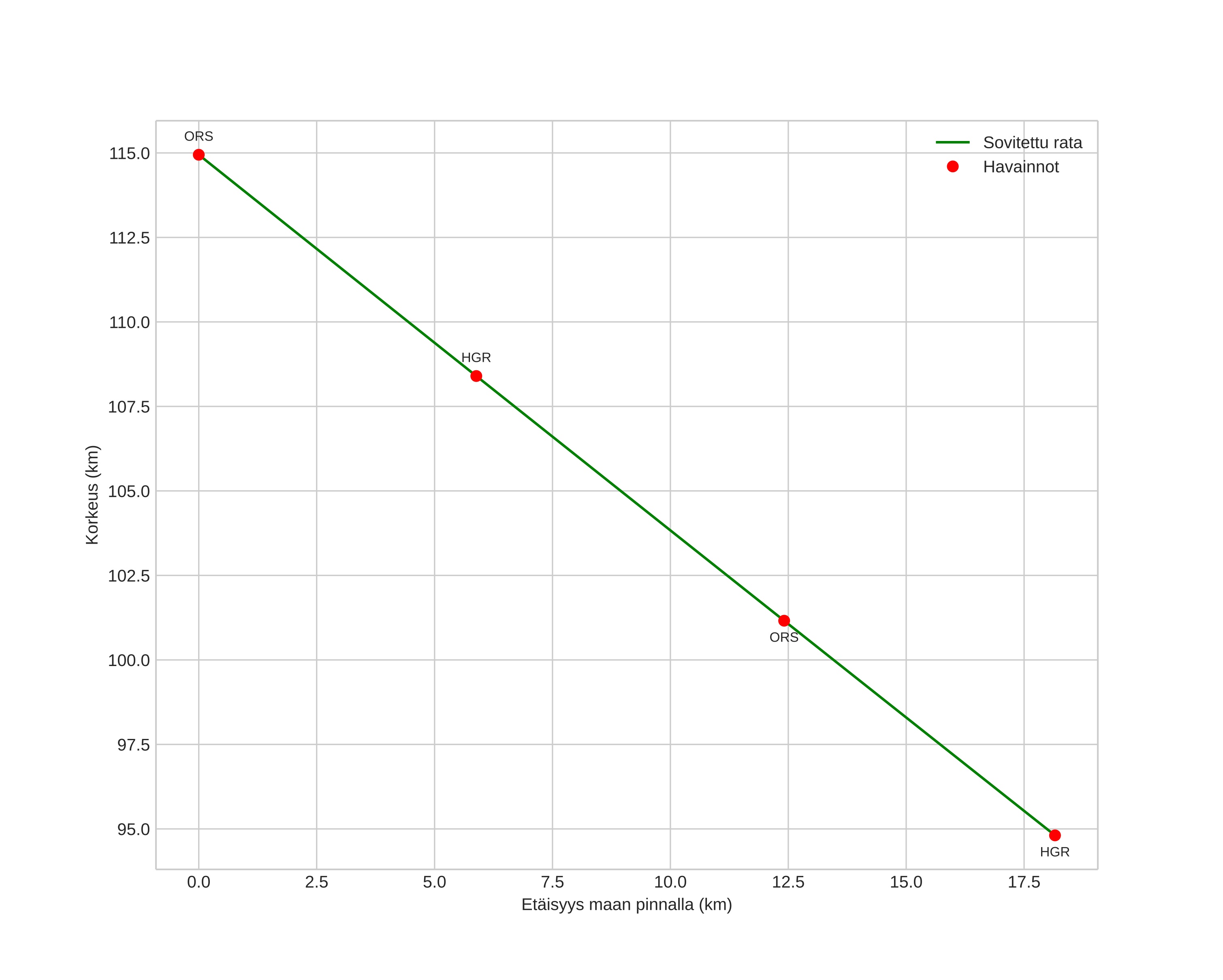
height profile
Meteorin ilmakehärata:
Alkukorkeus: 114,9 km
Loppukorkeus: 94,8 km
Alkupiste: 60,755N 9,262E
Loppupiste: 60,896N 9,096E
Suunta: 330,3°
Kallistuskulma: 48,1°
Tulonopeus: 52,6 km/s
Radiantin R,A,: 10:25 (156,5°)
Radiantin Dekl,: 21,0°
Meteoriparvi: Sporadinen
Meteoroidin rataelementit:
Perihelietäisyys: 0,371 AU
Eksentrisyys: 0,463
Inklinaatio: 155,2°
Nousevan solmun pituus: 245,1°
Perihelin argumentti: 346,6°
Keskianomalia: 211,9°
Epookki: 2024 NOV 27 04:01:32
orbit plot

Ei-interaktiivinen kuvaaja | Interaktiivinen kuvaaja

position vs time
speed and acceleration