🇳🇴 🇬🇧 🇩🇪 🇨🇿 🇫🇮

Meteor, poloha: FlĂĄ 2024-11-27 19:37:33 UTC

Soubor KML  |  InteraktivnĂ­ mapa

Mapa zobrazuje dráhy meteoru. Světlejší čáry ukazují směry od pozorovacích stanic při objevení se meteoru a tmavší čáry, kde byl naposledy viděn. Modrá šipka značí viditelnou dráhu meteoru.

static map
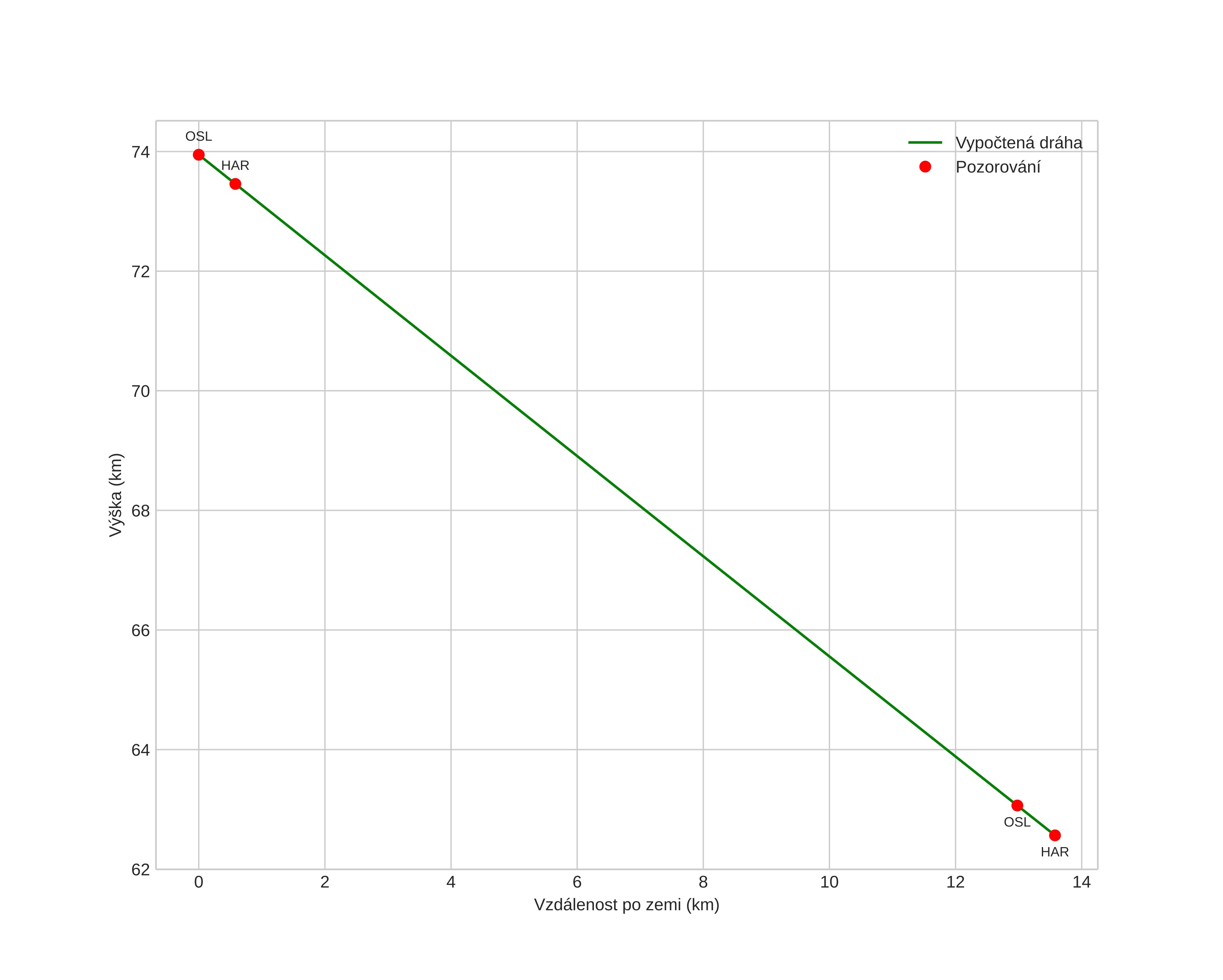
height profile
Atmosférická dráha meteoru:
Počáteční výška: 74,0 km
Konečná výška: 62,6 km
Počáteční poloha: 60,173N 9,520E
Konečná poloha: 60,273N 9,376E
Směr: 324,7°
Sklon: 39,8°
VstupnĂ­ rychlost: 17,7 km/s
Rektascenze radiantu: 02:36 (39,2°)
Deklinace radiantu: 7,5°
MeteorickĂ˝ roj: sporadickĂ˝
Elementy dráhy meteoroidu:
Vzdálenost v periheliu: 0,858 AU
Excentricita: 0,684
Sklon dráhy: 2,8°
Délka vzestupného uzlu: 65,8°
Argument perihelia: 47,1°
Střední anomálie: 352,9°
Epocha: 2024 NOV 27 19:37:33
orbit plot

NeinteraktivnĂ­ graf | InteraktivnĂ­ graf

position vs time
speed and acceleration