🇳🇴 🇬🇧 🇩🇪 🇨🇿 🇫🇮

Meteor, poloha: Bagn 2024-11-27 19:49:24 UTC

Soubor KML  |  InteraktivnĂ­ mapa

Mapa zobrazuje dráhy meteoru. Světlejší čáry ukazují směry od pozorovacích stanic při objevení se meteoru a tmavší čáry, kde byl naposledy viděn. Modrá šipka značí viditelnou dráhu meteoru.

static map
height profile
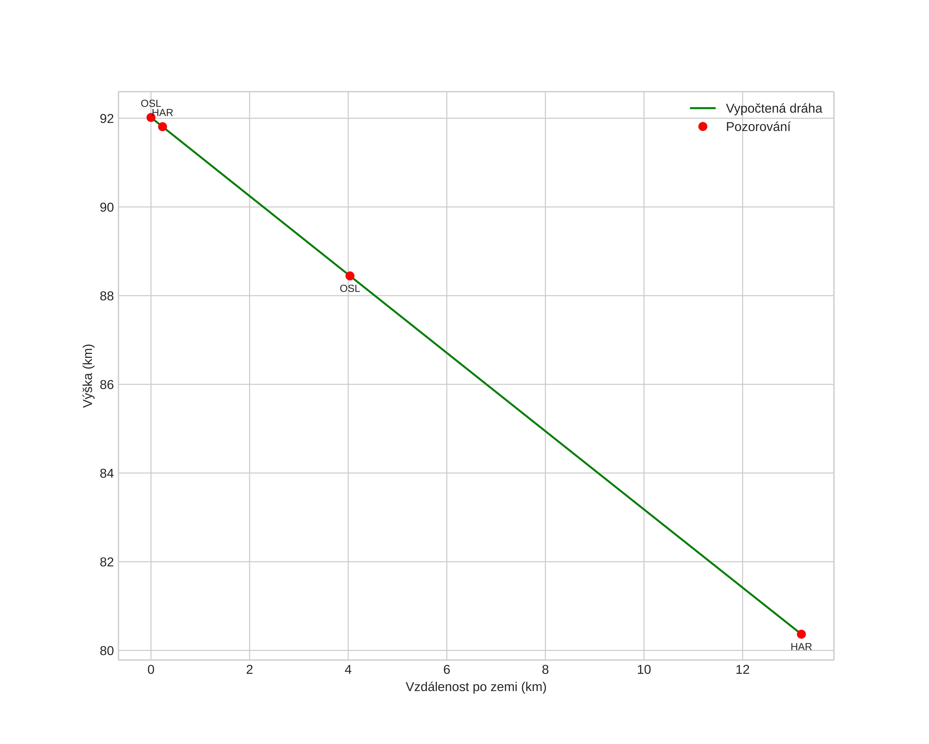
Atmosférická dráha meteoru:
Počáteční výška: 93,3 km
Konečná výška: 80,4 km
Počáteční poloha: 60,749N 9,631E
Konečná poloha: 60,779N 9,368E
Směr: 283,3°
Sklon: 41,4°
VstupnĂ­ rychlost: 24,0 km/s
Rektascenze radiantu: 04:48 (72,2°)
Deklinace radiantu: 27,0°
MeteorickĂ˝ roj: SevernĂ­ Tauridy
Elementy dráhy meteoroidu:
Vzdálenost v periheliu: 0,487 AU
Excentricita: 0,663
Sklon dráhy: 3,5°
Délka vzestupného uzlu: 245,7°
Argument perihelia: 285,8°
Střední anomálie: 331,9°
Epocha: 2024 NOV 27 19:49:24
orbit plot

NeinteraktivnĂ­ graf | InteraktivnĂ­ graf

position vs time
speed and acceleration