🇳🇴 🇬🇧 🇩🇪 🇨🇿 🇫🇮

Meteor, poloha: Geilo 2024-11-27 21:30:09 UTC

Soubor KML  |  InteraktivnĂ­ mapa

Mapa zobrazuje dráhy meteoru. Světlejší čáry ukazují směry od pozorovacích stanic při objevení se meteoru a tmavší čáry, kde byl naposledy viděn. Modrá šipka značí viditelnou dráhu meteoru.

static map
height profile
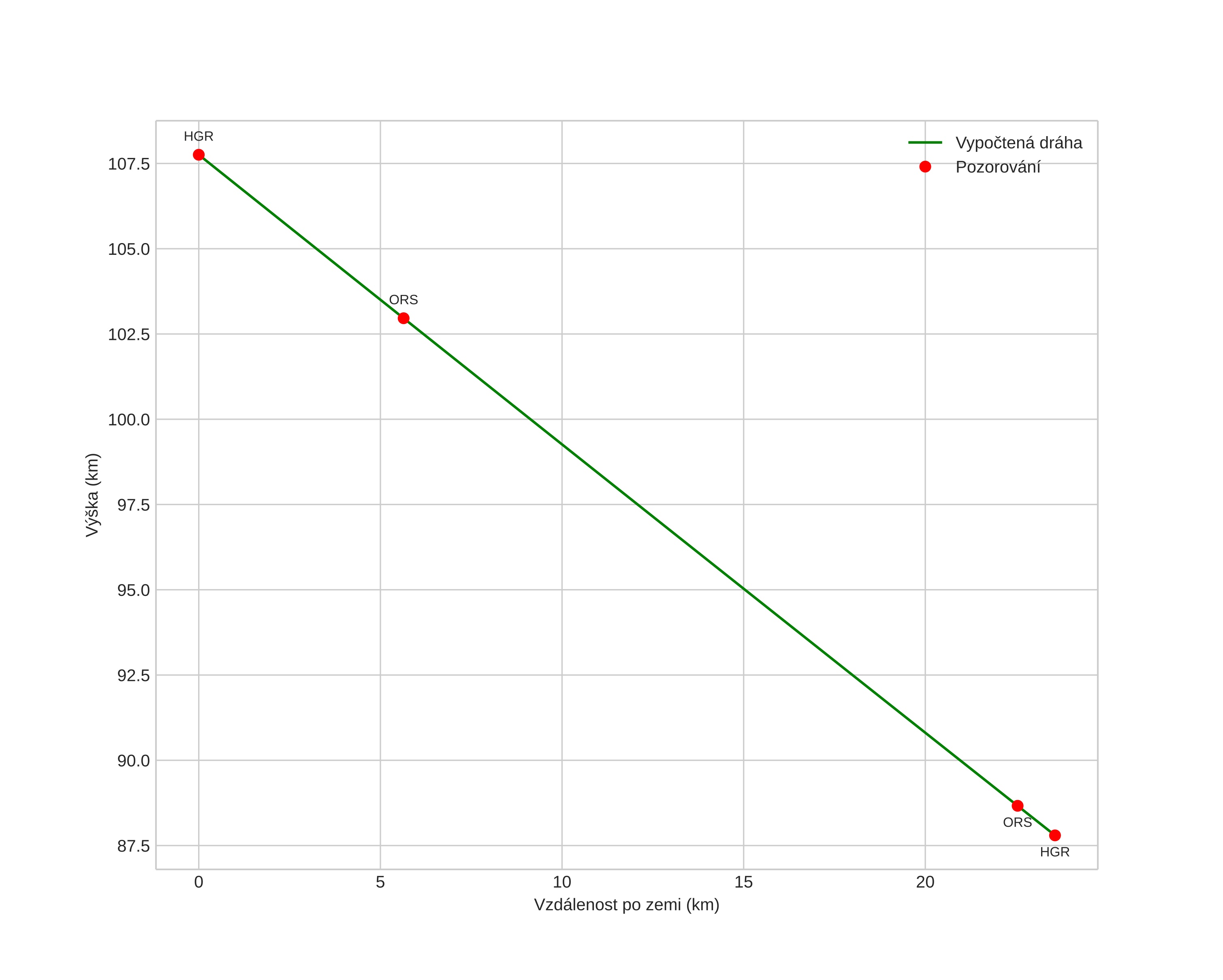
Atmosférická dráha meteoru:
Počáteční výška: 108,9 km
Konečná výška: 87,8 km
Počáteční poloha: 60,153N 8,351E
Konečná poloha: 60,099N 7,915E
Směr: 256,3°
Sklon: 40,3°
VstupnĂ­ rychlost: 58,3 km/s
Rektascenze radiantu: 07:41 (115,4°)
Deklinace radiantu: 40,4°
MeteorickĂ˝ roj: sporadickĂ˝
Elementy dráhy meteoroidu:
Vzdálenost v periheliu: 0,213 AU
Excentricita: 1,027
Sklon dráhy: 112,6°
Délka vzestupného uzlu: 245,8°
Argument perihelia: 303,3°
Střední anomálie: -1,5°
Epocha: 2024 NOV 27 21:30:09
orbit plot

NeinteraktivnĂ­ graf | InteraktivnĂ­ graf

position vs time
speed and acceleration