🇳🇴 🇬🇧 🇩🇪 🇨🇿 🇫🇮

Meteor, poloha: Engerdal 2024-11-27 22:14:30 UTC

Soubor KML  |  InteraktivnĂ­ mapa

Mapa zobrazuje dráhy meteoru. Světlejší čáry ukazují směry od pozorovacích stanic při objevení se meteoru a tmavší čáry, kde byl naposledy viděn. Modrá šipka značí viditelnou dráhu meteoru.

static map
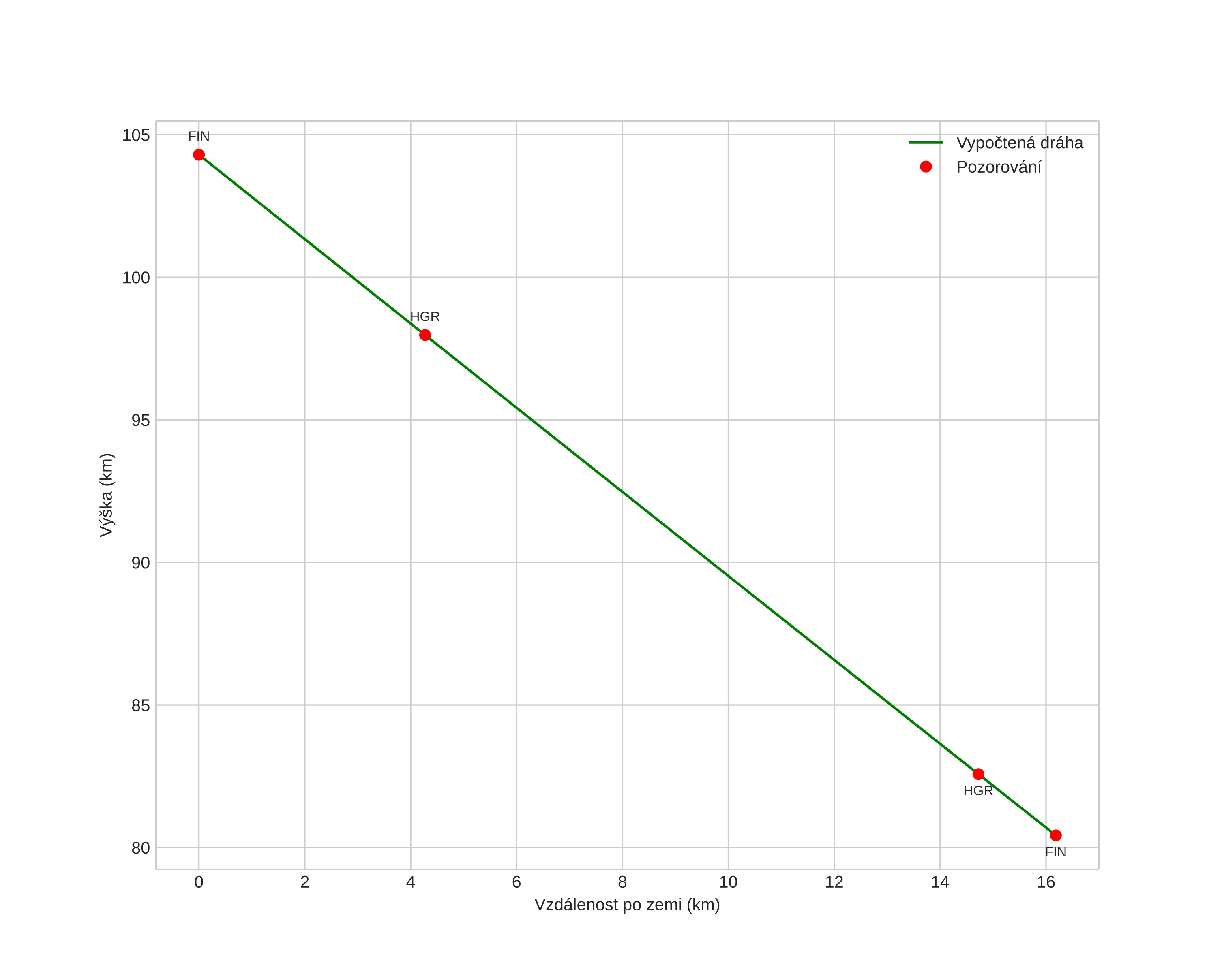
height profile
Atmosférická dráha meteoru:
Počáteční výška: 105,8 km
Konečná výška: 80,7 km
Počáteční poloha: 61,751N 12,214E
Konečná poloha: 61,603N 12,141E
Směr: 193,2°
Sklon: 55,9°
VstupnĂ­ rychlost: 34,4 km/s
Rektascenze radiantu: 12:09 (182,4°)
Deklinace radiantu: 80,8°
MeteorickĂ˝ roj: sporadickĂ˝
Elementy dráhy meteoroidu:
Vzdálenost v periheliu: 0,895 AU
Excentricita: 0,578
Sklon dráhy: 55,5°
Délka vzestupného uzlu: 245,8°
Argument perihelia: 221,8°
Střední anomálie: 350,2°
Epocha: 2024 NOV 27 22:14:30
orbit plot

NeinteraktivnĂ­ graf | InteraktivnĂ­ graf

position vs time
speed and acceleration