🇳🇴 🇬🇧 🇩🇪 🇨🇿 🇫🇮

Meteor, poloha: Bagn 2024-11-27 23:33:14 UTC

Soubor KML  |  InteraktivnĂ­ mapa

Mapa zobrazuje dráhy meteoru. Světlejší čáry ukazují směry od pozorovacích stanic při objevení se meteoru a tmavší čáry, kde byl naposledy viděn. Modrá šipka značí viditelnou dráhu meteoru.

static map
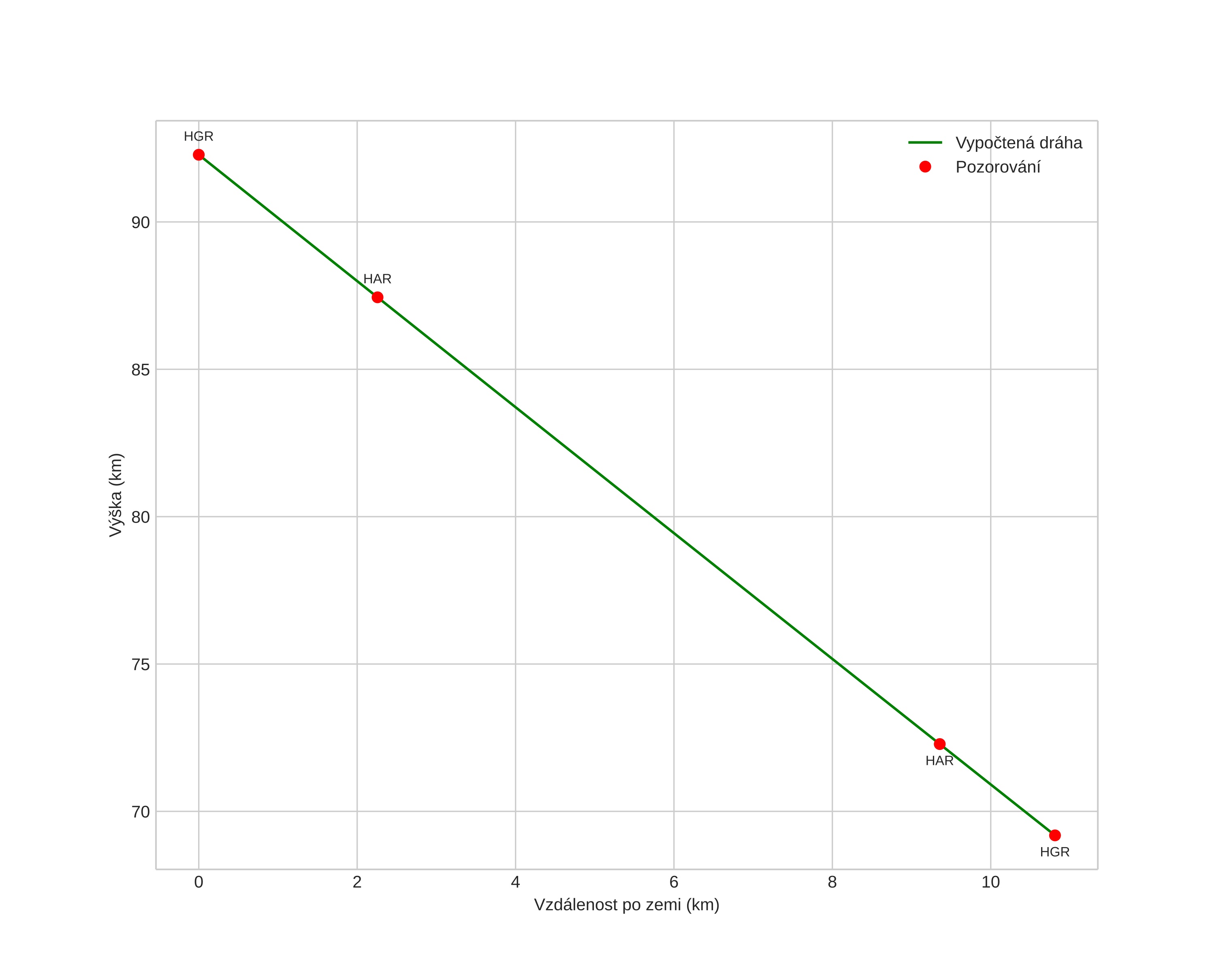
height profile
Atmosférická dráha meteoru:
Počáteční výška: 92,5 km
Konečná výška: 68,8 km
Počáteční poloha: 60,506N 9,643E
Konečná poloha: 60,606N 9,623E
Směr: 354,3°
Sklon: 64,8°
VstupnĂ­ rychlost: 31,1 km/s
Rektascenze radiantu: 04:49 (72,3°)
Deklinace radiantu: 34,4°
MeteorickĂ˝ roj: sporadickĂ˝
Elementy dráhy meteoroidu:
Vzdálenost v periheliu: 0,408 AU
Excentricita: 0,860
Sklon dráhy: 13,1°
Délka vzestupného uzlu: 245,9°
Argument perihelia: 285,5°
Střední anomálie: 351,8°
Epocha: 2024 NOV 27 23:33:14
orbit plot

NeinteraktivnĂ­ graf | InteraktivnĂ­ graf

position vs time
speed and acceleration