🇳🇴 🇬🇧 🇩🇪 🇨🇿 🇫🇮

Meteor, poloha: Aurlandsvangen 2024-11-28 01:16:36 UTC

Soubor KML  |  InteraktivnĂ­ mapa

Mapa zobrazuje dráhy meteoru. Světlejší čáry ukazují směry od pozorovacích stanic při objevení se meteoru a tmavší čáry, kde byl naposledy viděn. Modrá šipka značí viditelnou dráhu meteoru.

static map
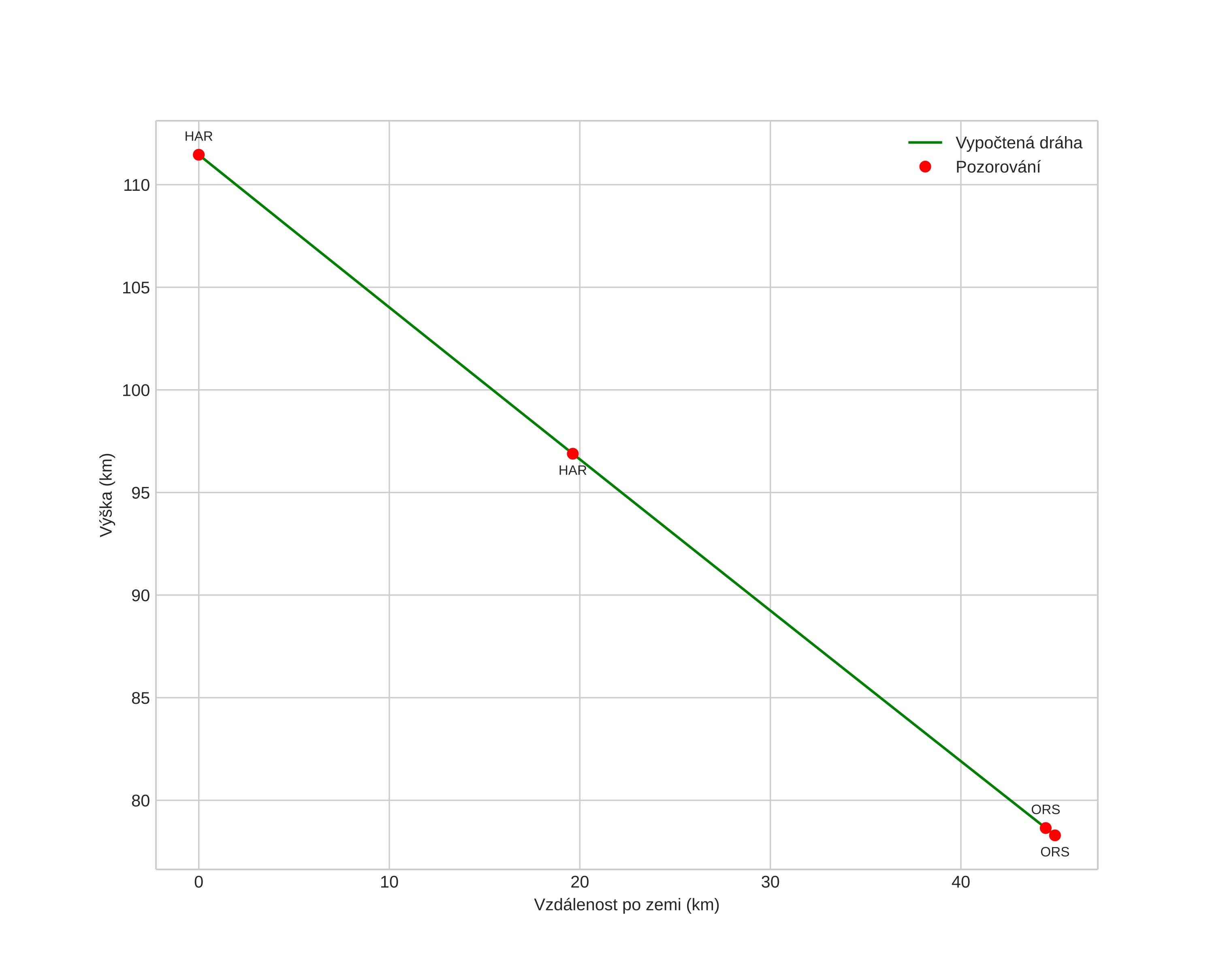
height profile
Atmosférická dráha meteoru:
Počáteční výška: 109,9 km
Konečná výška: 77,4 km
Počáteční poloha: 60,568N 7,120E
Konečná poloha: 60,961N 7,358E
Směr: 16,3°
Sklon: 35,5°
VstupnĂ­ rychlost: 48,0 km/s
Rektascenze radiantu: 05:18 (79,6°)
Deklinace radiantu: 6,1°
MeteorickĂ˝ roj: Monocerotidy
Elementy dráhy meteoroidu:
Vzdálenost v periheliu: 0,288 AU
Excentricita: 1,229
Sklon dráhy: 34,3°
Délka vzestupného uzlu: 66,0°
Argument perihelia: 106,5°
Střední anomálie: -21,5°
Epocha: 2024 NOV 28 01:16:36
orbit plot

NeinteraktivnĂ­ graf | InteraktivnĂ­ graf

position vs time
speed and acceleration