🇳🇴 🇬🇧 🇩🇪 🇨🇿 🇫🇮

Meteor, poloha: Kirkenær 2024-11-28 02:19:22 UTC

Soubor KML  |  InteraktivnĂ­ mapa

Mapa zobrazuje dráhy meteoru. Světlejší čáry ukazují směry od pozorovacích stanic při objevení se meteoru a tmavší čáry, kde byl naposledy viděn. Modrá šipka značí viditelnou dráhu meteoru.

static map
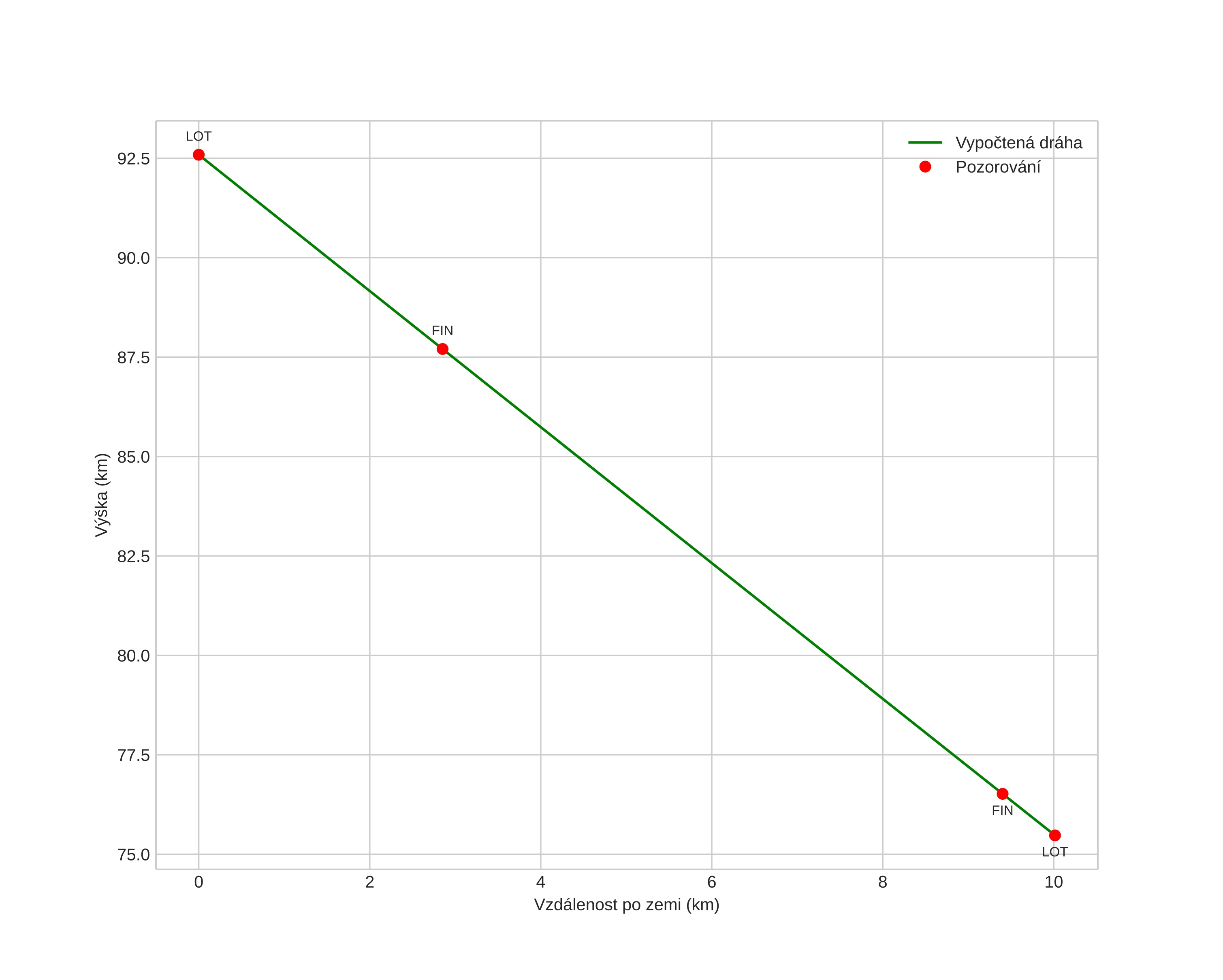
height profile
Atmosférická dráha meteoru:
Počáteční výška: 92,8 km
Konečná výška: 75,4 km
Počáteční poloha: 60,390N 11,874E
Konečná poloha: 60,427N 12,038E
Směr: 65,2°
Sklon: 60,3°
VstupnĂ­ rychlost: 30,2 km/s
Rektascenze radiantu: 05:04 (76,1°)
Deklinace radiantu: 39,5°
MeteorickĂ˝ roj: sporadickĂ˝
Elementy dráhy meteoroidu:
Vzdálenost v periheliu: 0,395 AU
Excentricita: 0,805
Sklon dráhy: 18,5°
Délka vzestupného uzlu: 246,0°
Argument perihelia: 290,2°
Střední anomálie: 345,1°
Epocha: 2024 NOV 28 02:19:22
orbit plot

NeinteraktivnĂ­ graf | InteraktivnĂ­ graf

position vs time
speed and acceleration

Finnskogen (FIN) cam7


gnomonic
Videa
• Gnomonická
• Gnomonická se souřadnicemi
• Původní
• Původní se souřadnicemi
Obrázky
• Gnomonická
• Gnomonická se souřadnicemi
• Původní
• Původní se souřadnicemi
Textové soubory
• Detekce
• Pozorování
• Souřadnice
• Protokol
Jasnost