🇳🇴 🇬🇧 🇩🇪 🇨🇿 🇫🇮

Meteor, poloha: Flisa 2024-11-28 03:18:37 UTC

Soubor KML  |  InteraktivnĂ­ mapa

Mapa zobrazuje dráhy meteoru. Světlejší čáry ukazují směry od pozorovacích stanic při objevení se meteoru a tmavší čáry, kde byl naposledy viděn. Modrá šipka značí viditelnou dráhu meteoru.

static map
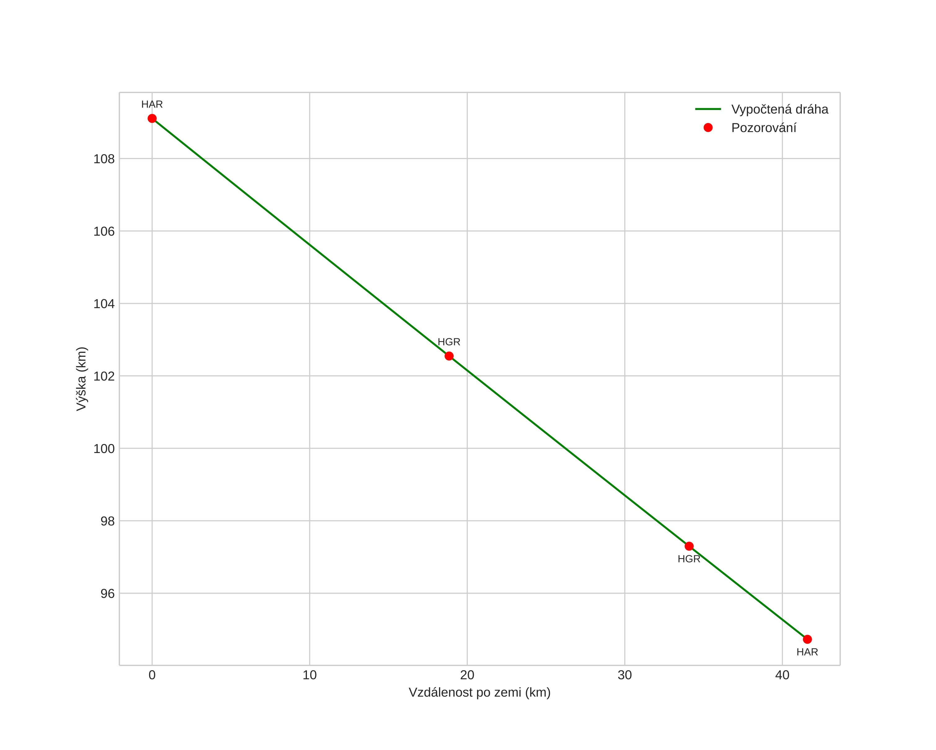
height profile
Atmosférická dráha meteoru:
Počáteční výška: 111,4 km
Konečná výška: 94,3 km
Počáteční poloha: 60,609N 12,998E
Konečná poloha: 60,700N 12,118E
Směr: 282,3°
Sklon: 19,2°
VstupnĂ­ rychlost: 59,1 km/s
Rektascenze radiantu: 13:19 (199,9°)
Deklinace radiantu: 10,3°
MeteorickĂ˝ roj: sporadickĂ˝
Elementy dráhy meteoroidu:
Vzdálenost v periheliu: 0,264 AU
Excentricita: 0,947
Sklon dráhy: 127,3°
Délka vzestupného uzlu: 246,0°
Argument perihelia: 59,7°
Střední anomálie: 3,3°
Epocha: 2024 NOV 28 03:18:37
orbit plot

NeinteraktivnĂ­ graf | InteraktivnĂ­ graf

position vs time
speed and acceleration