🇳🇴 🇬🇧 🇩🇪 🇨🇿 🇫🇮

Meteor, poloha: Notodden 2024-11-28 16:15:23 UTC

Soubor KML  |  InteraktivnĂ­ mapa

Mapa zobrazuje dráhy meteoru. Světlejší čáry ukazují směry od pozorovacích stanic při objevení se meteoru a tmavší čáry, kde byl naposledy viděn. Modrá šipka značí viditelnou dráhu meteoru.

static map
height profile
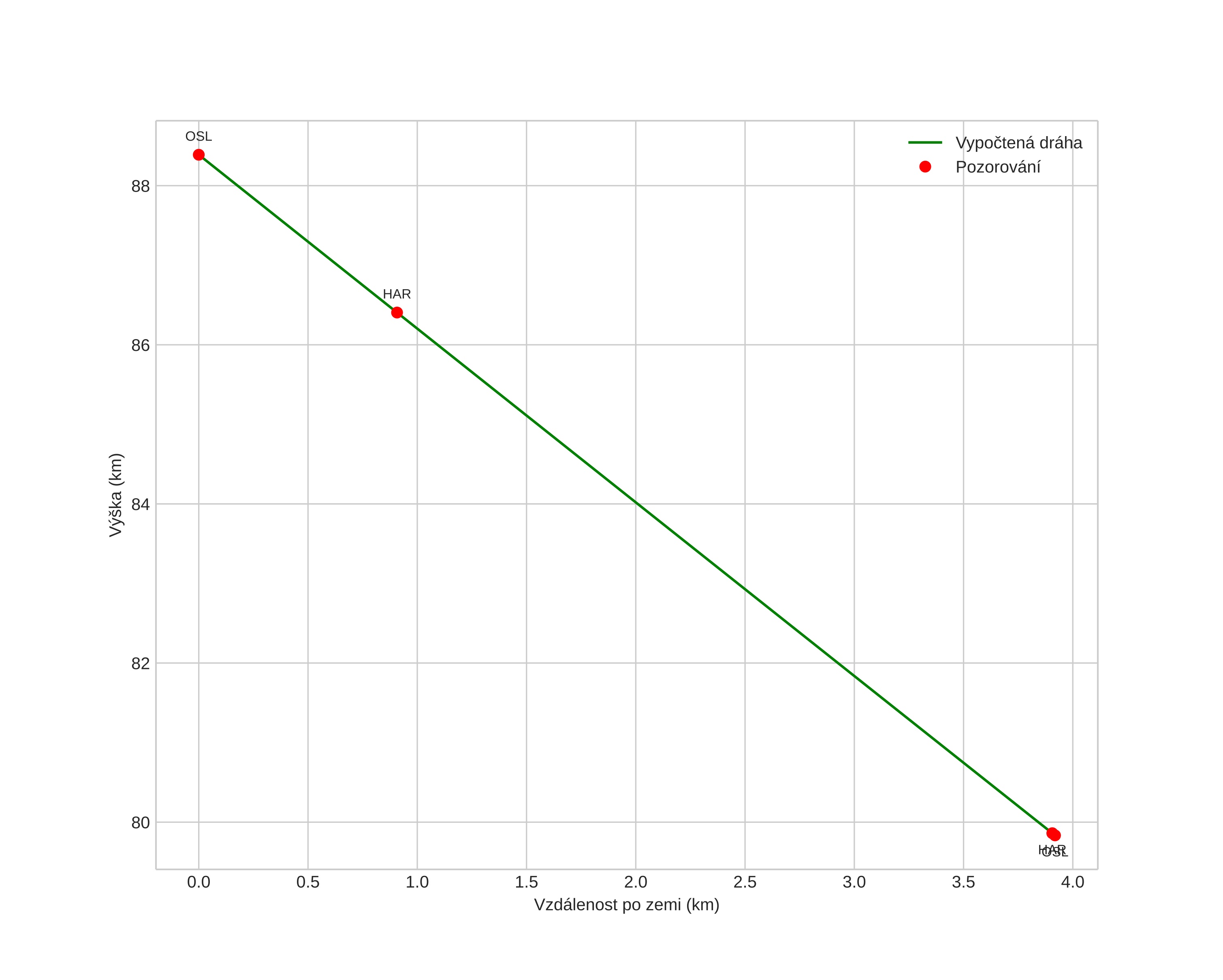
Atmosférická dráha meteoru:
Počáteční výška: 90,5 km
Konečná výška: 80,4 km
Počáteční poloha: 59,554N 9,436E
Konečná poloha: 59,541N 9,315E
Směr: 257,8°
Sklon: 55,4°
VstupnĂ­ rychlost: 20,1 km/s
Rektascenze radiantu: 01:38 (24,5°)
Deklinace radiantu: 48,6°
MeteorickĂ˝ roj: sporadickĂ˝
Elementy dráhy meteoroidu:
Vzdálenost v periheliu: 0,864 AU
Excentricita: 0,739
Sklon dráhy: 15,1°
Délka vzestupného uzlu: 246,6°
Argument perihelia: 224,9°
Střední anomálie: 355,0°
Epocha: 2024 NOV 28 16:15:23
orbit plot

NeinteraktivnĂ­ graf | InteraktivnĂ­ graf

position vs time
speed and acceleration