🇳🇴 🇬🇧 🇩🇪 🇨🇿 🇫🇮

Meteor, poloha: Bruflat 2024-11-28 16:20:35 UTC

Soubor KML  |  InteraktivnĂ­ mapa

Mapa zobrazuje dráhy meteoru. Světlejší čáry ukazují směry od pozorovacích stanic při objevení se meteoru a tmavší čáry, kde byl naposledy viděn. Modrá šipka značí viditelnou dráhu meteoru.

static map
height profile
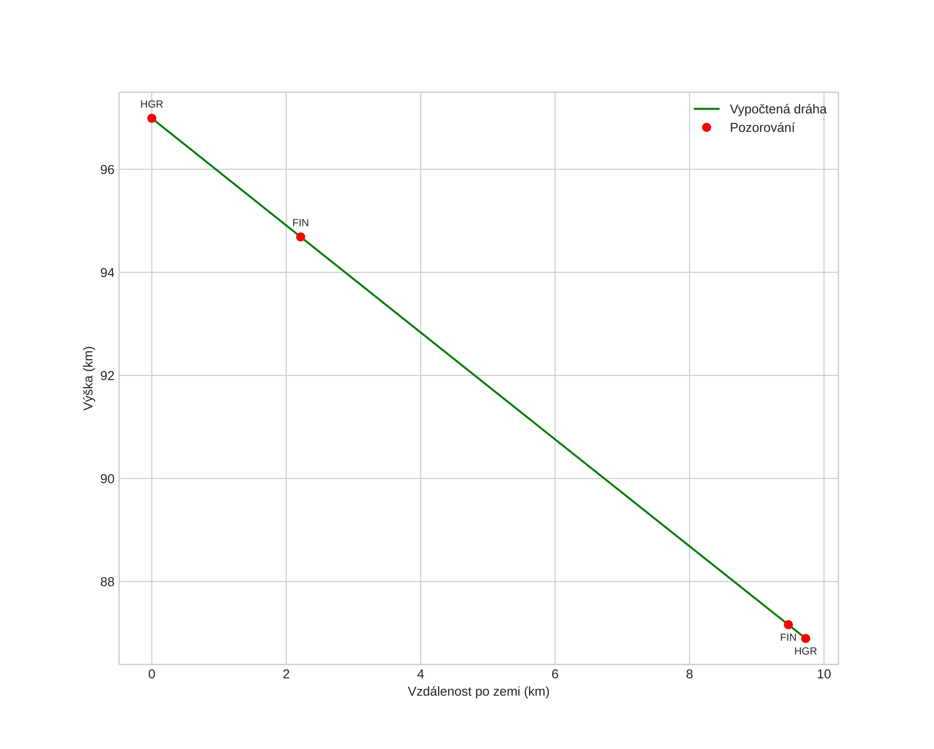
Atmosférická dráha meteoru:
Počáteční výška: 100,0 km
Konečná výška: 86,3 km
Počáteční poloha: 60,733N 9,680E
Konečná poloha: 60,636N 9,823E
Směr: 144,2°
Sklon: 45,9°
VstupnĂ­ rychlost: 41,8 km/s
Rektascenze radiantu: 14:10 (212,6°)
Deklinace radiantu: 63,7°
MeteorickĂ˝ roj: sporadickĂ˝
Elementy dráhy meteoroidu:
Vzdálenost v periheliu: 0,986 AU
Excentricita: 0,751
Sklon dráhy: 69,1°
Délka vzestupného uzlu: 246,6°
Argument perihelia: 177,9°
Střední anomálie: 0,2°
Epocha: 2024 NOV 28 16:20:35
orbit plot

NeinteraktivnĂ­ graf | InteraktivnĂ­ graf

position vs time
speed and acceleration