🇳🇴 🇬🇧 🇩🇪 🇨🇿 🇫🇮

Meteor, poloha: Spetalen 2024-11-28 17:06:06 UTC

Soubor KML  |  InteraktivnĂ­ mapa

Mapa zobrazuje dráhy meteoru. Světlejší čáry ukazují směry od pozorovacích stanic při objevení se meteoru a tmavší čáry, kde byl naposledy viděn. Modrá šipka značí viditelnou dráhu meteoru.

static map
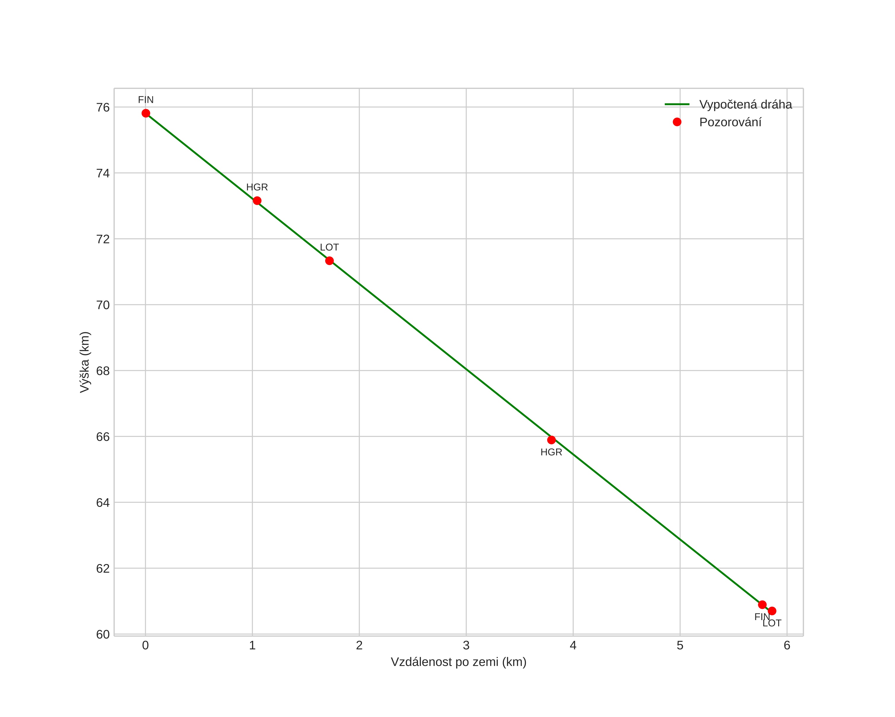
height profile
Atmosférická dráha meteoru:
Počáteční výška: 76,1 km
Konečná výška: 60,7 km
Počáteční poloha: 60,074N 11,921E
Konečná poloha: 60,128N 11,947E
Směr: 13,3°
Sklon: 68,2°
VstupnĂ­ rychlost: 15,1 km/s
Rektascenze radiantu: 21:51 (327,9°)
Deklinace radiantu: 34,1°
MeteorickĂ˝ roj: sporadickĂ˝
Elementy dráhy meteoroidu:
Vzdálenost v periheliu: 0,985 AU
Excentricita: 0,624
Sklon dráhy: 10,7°
Délka vzestupného uzlu: 246,6°
Argument perihelia: 185,6°
Střední anomálie: 359,0°
Epocha: 2024 NOV 28 17:06:06
orbit plot

NeinteraktivnĂ­ graf | InteraktivnĂ­ graf

position vs time
speed and acceleration