🇳🇴 🇬🇧 🇩🇪 🇨🇿 🇫🇮

Meteor, poloha: Førde 2024-11-28 17:32:29 UTC

Soubor KML  |  InteraktivnĂ­ mapa

Mapa zobrazuje dráhy meteoru. Světlejší čáry ukazují směry od pozorovacích stanic při objevení se meteoru a tmavší čáry, kde byl naposledy viděn. Modrá šipka značí viditelnou dráhu meteoru.

static map
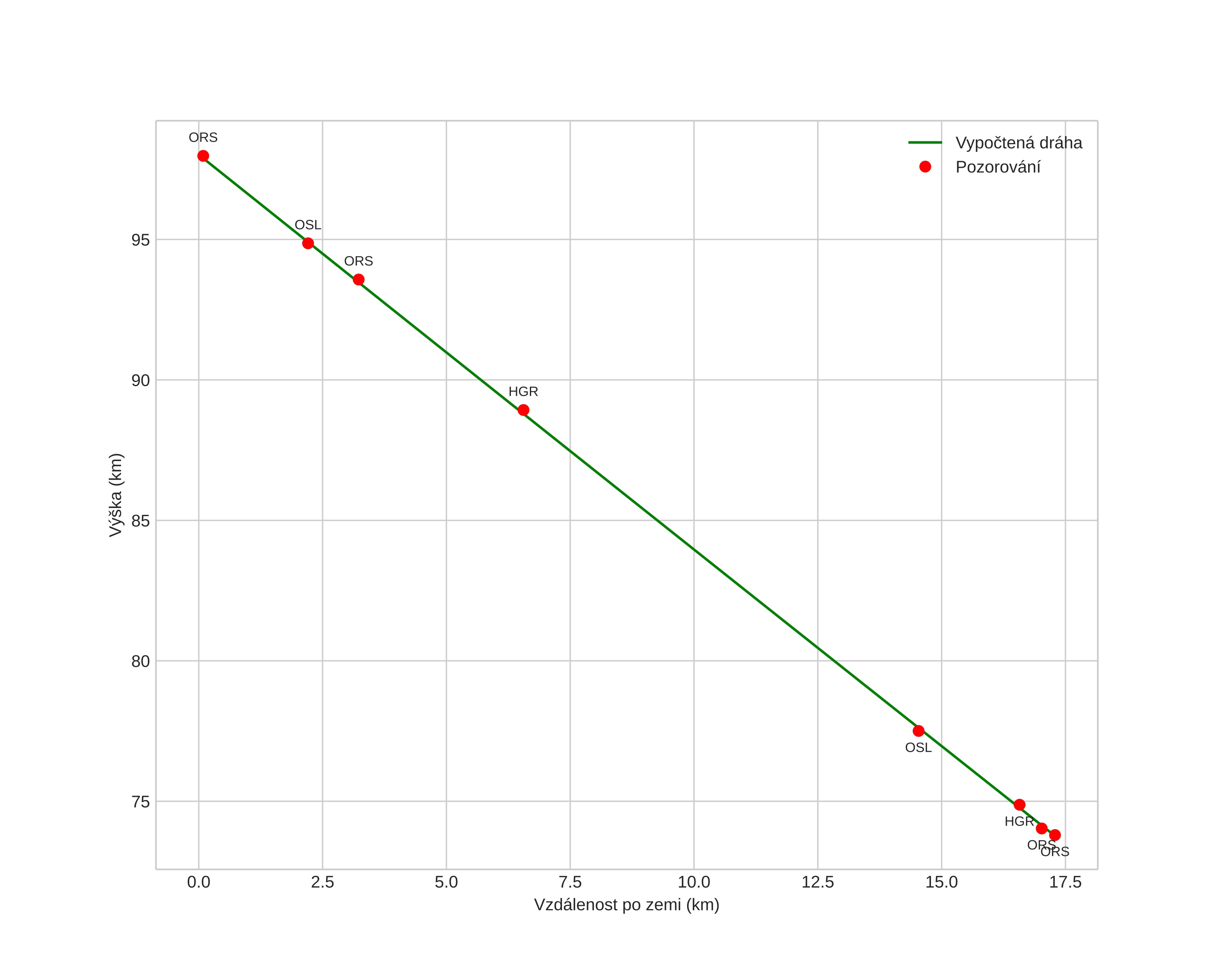
height profile
Atmosférická dráha meteoru:
Počáteční výška: 98,1 km
Konečná výška: 73,7 km
Počáteční poloha: 61,477N 5,682E
Konečná poloha: 61,371N 5,918E
Směr: 133,1°
Sklon: 54,8°
VstupnĂ­ rychlost: 30,4 km/s
Rektascenze radiantu: 16:41 (250,5°)
Deklinace radiantu: 63,8°
MeteorickĂ˝ roj: sporadickĂ˝
Elementy dráhy meteoroidu:
Vzdálenost v periheliu: 0,983 AU
Excentricita: 0,672
Sklon dráhy: 46,5°
Délka vzestupného uzlu: 246,6°
Argument perihelia: 172,6°
Střední anomálie: 1,1°
Epocha: 2024 NOV 28 17:32:29
orbit plot

NeinteraktivnĂ­ graf | InteraktivnĂ­ graf

position vs time
speed and acceleration