🇳🇴 🇬🇧 🇩🇪 🇨🇿 🇫🇮

Meteor, poloha: Torsby 2024-11-28 19:50:42 UTC

Soubor KML  |  InteraktivnĂ­ mapa

Mapa zobrazuje dráhy meteoru. Světlejší čáry ukazují směry od pozorovacích stanic při objevení se meteoru a tmavší čáry, kde byl naposledy viděn. Modrá šipka značí viditelnou dráhu meteoru.

static map
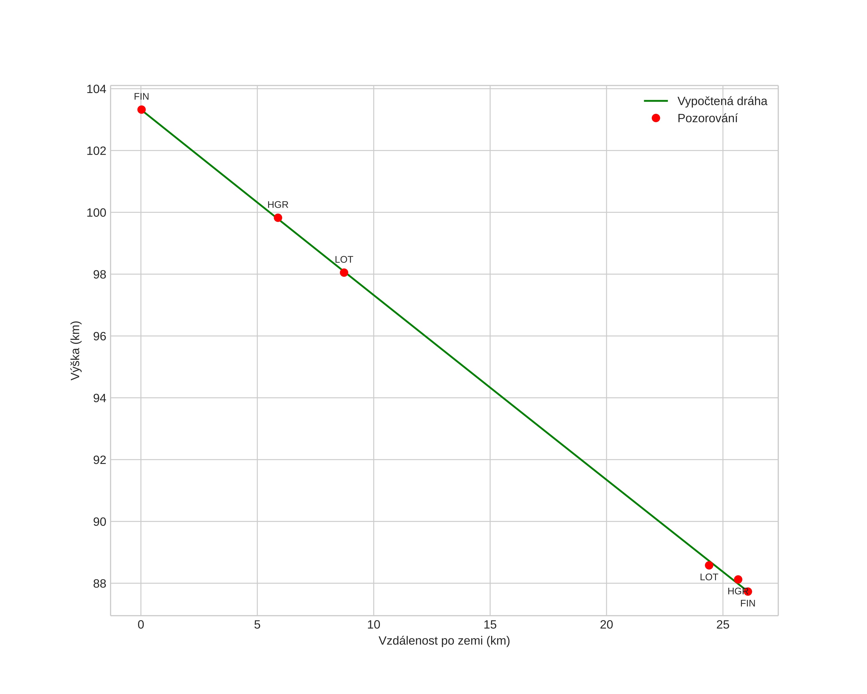
height profile
Atmosférická dráha meteoru:
Počáteční výška: 103,3 km
Konečná výška: 87,7 km
Počáteční poloha: 60,176N 12,732E
Konečná poloha: 59,942N 12,772E
Směr: 175,2°
Sklon: 30,8°
VstupnĂ­ rychlost: 43,0 km/s
Rektascenze radiantu: 13:48 (207,2°)
Deklinace radiantu: 59,5°
MeteorickĂ˝ roj: sporadickĂ˝
Elementy dráhy meteoroidu:
Vzdálenost v periheliu: 0,982 AU
Excentricita: 0,634
Sklon dráhy: 73,5°
Délka vzestupného uzlu: 246,7°
Argument perihelia: 171,6°
Střední anomálie: 1,5°
Epocha: 2024 NOV 28 19:50:42
orbit plot

NeinteraktivnĂ­ graf | InteraktivnĂ­ graf

position vs time
speed and acceleration