🇳🇴 🇬🇧 🇩🇪 🇨🇿 🇫🇮

Meteor, poloha: Geilo 2024-11-29 01:04:56 UTC

Soubor KML  |  InteraktivnĂ­ mapa

Mapa zobrazuje dráhy meteoru. Světlejší čáry ukazují směry od pozorovacích stanic při objevení se meteoru a tmavší čáry, kde byl naposledy viděn. Modrá šipka značí viditelnou dráhu meteoru.

static map
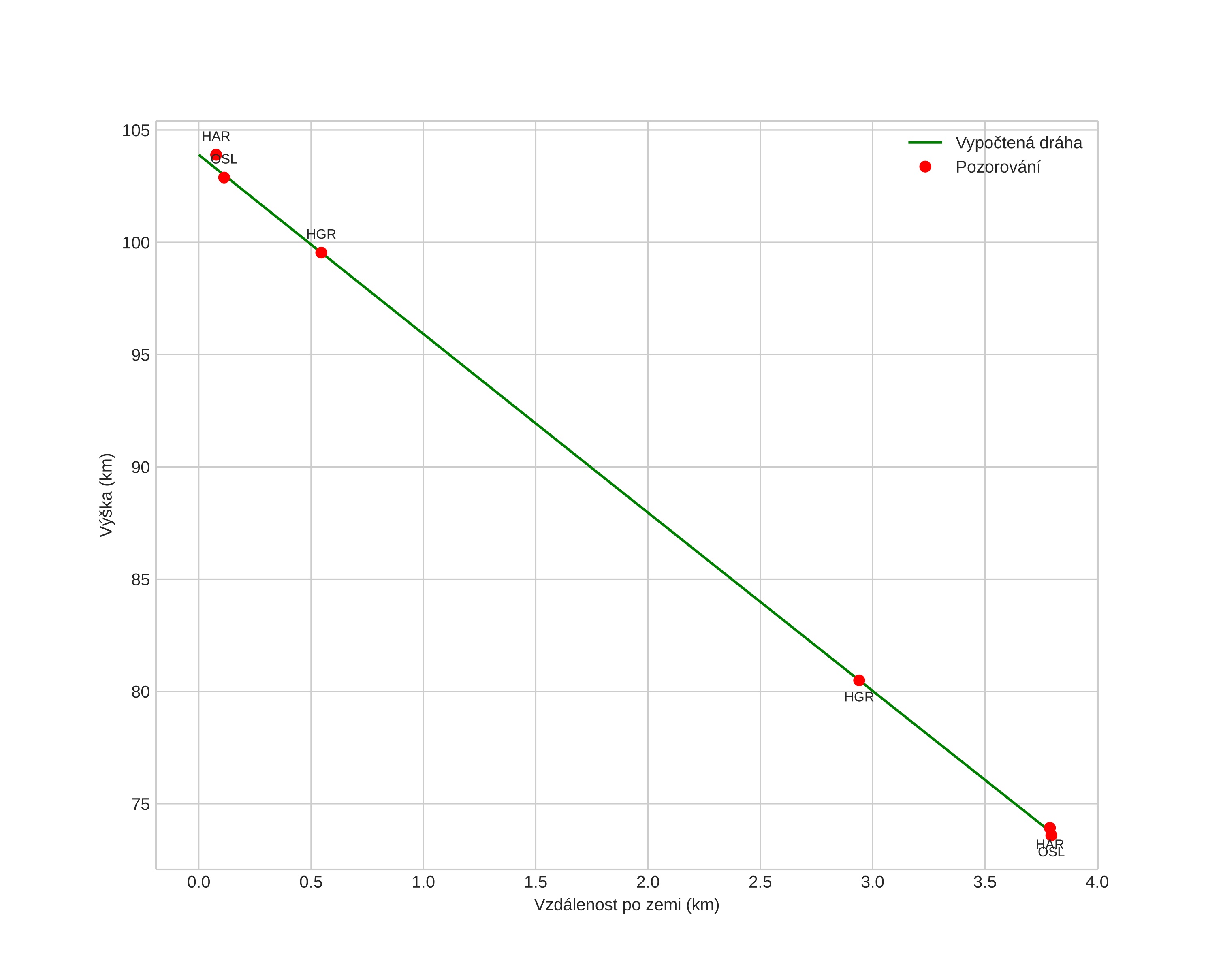
height profile
Atmosférická dráha meteoru:
Počáteční výška: 102,9 km
Konečná výška: 73,3 km
Počáteční poloha: 60,469N 8,042E
Konečná poloha: 60,466N 7,957E
Směr: 265,2°
Sklon: 81,1°
VstupnĂ­ rychlost: 46,9 km/s
Rektascenze radiantu: 07:18 (109,7°)
Deklinace radiantu: 59,9°
MeteorickĂ˝ roj: sporadickĂ˝
Elementy dráhy meteoroidu:
Vzdálenost v periheliu: 0,473 AU
Excentricita: 0,970
Sklon dráhy: 71,5°
Délka vzestupného uzlu: 247,0°
Argument perihelia: 273,2°
Střední anomálie: 359,4°
Epocha: 2024 NOV 29 01:04:56
orbit plot

NeinteraktivnĂ­ graf | InteraktivnĂ­ graf

position vs time
speed and acceleration