🇳🇴 🇬🇧 🇩🇪 🇨🇿 🇫🇮

Meteor, poloha: Munkfors 2024-12-01 06:09:39 UTC

Soubor KML  |  InteraktivnĂ­ mapa

Mapa zobrazuje dráhy meteoru. Světlejší čáry ukazují směry od pozorovacích stanic při objevení se meteoru a tmavší čáry, kde byl naposledy viděn. Modrá šipka značí viditelnou dráhu meteoru.

static map
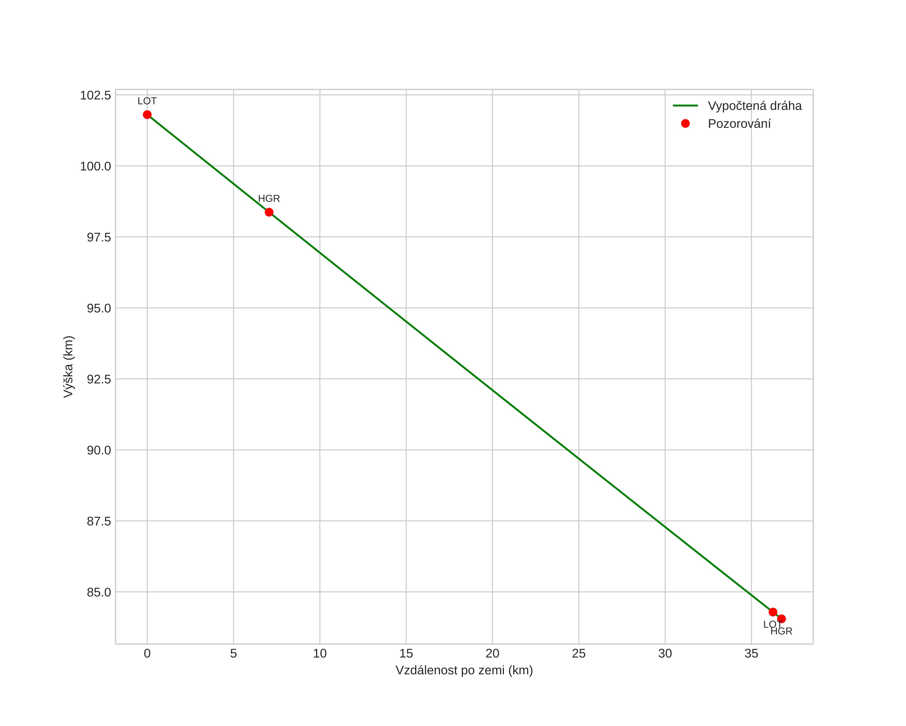
height profile
Atmosférická dráha meteoru:
Počáteční výška: 101,8 km
Konečná výška: 83,8 km
Počáteční poloha: 60,059N 13,966E
Konečná poloha: 59,847N 13,451E
Směr: 230,8°
Sklon: 25,9°
VstupnĂ­ rychlost: 23,7 km/s
Rektascenze radiantu: 19:25 (291,4°)
Deklinace radiantu: 37,9°
MeteorickĂ˝ roj: sporadickĂ˝
Elementy dráhy meteoroidu:
Vzdálenost v periheliu: 0,968 AU
Excentricita: 1,079
Sklon dráhy: 24,5°
Délka vzestupného uzlu: 249,2°
Argument perihelia: 164,8°
Střední anomálie: 0,2°
Epocha: 2024 DEC 01 06:09:39
orbit plot

NeinteraktivnĂ­ graf | InteraktivnĂ­ graf

position vs time
speed and acceleration