🇳🇴 🇬🇧 🇩🇪 🇨🇿 🇫🇮

Meteor Munkforsin yllä 2024-12-01 06:09:40 UTC

KML-tiedosto  |  Interaktiivinen kartta

Kartta näyttää meteorin suuntahavainnot. Vaaleammat viivat näyttävät suunnat havaintoasemilta meteorin ilmestyessä, ja tummemmat viivat näyttävät, missä se viimeksi nähtiin. Sininen nuoli näyttää meteorin näkyvän lennon.

static map
height profile
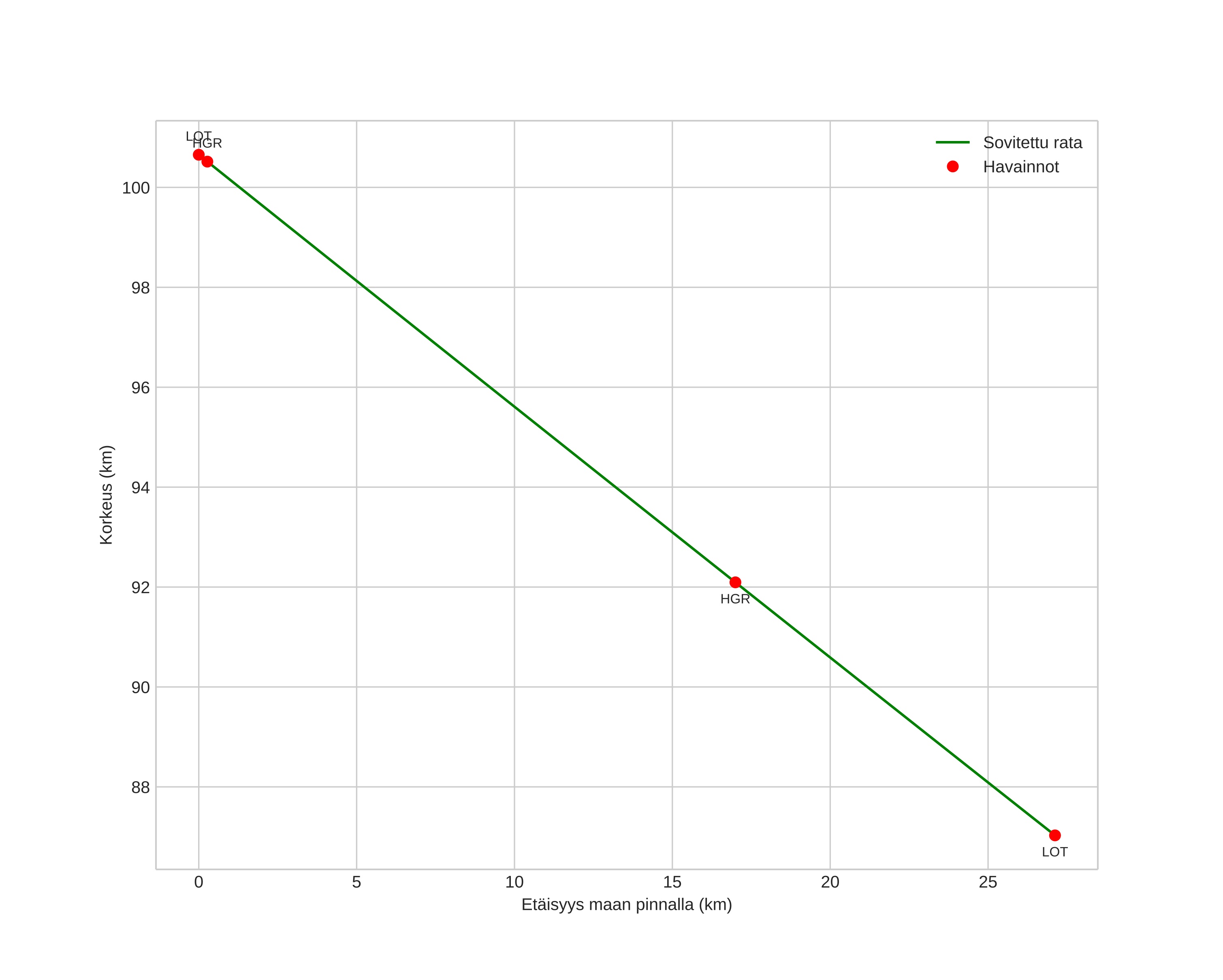
Meteorin ilmakehärata:
Alkukorkeus: 100,2 km
Loppukorkeus: 86,5 km
Alkupiste: 60,036N 13,921E
Loppupiste: 59,884N 13,538E
Suunta: 231,7°
Kallistuskulma: 26,8°
Tulonopeus: 24,6 km/s
Radiantin R,A,: 19:17 (289,5°)
Radiantin Dekl,: 38,6°
Meteoriparvi: Sporadinen
Meteoroidin rataelementit:
Perihelietäisyys: 0,966 AU
Eksentrisyys: 1,114
Inklinaatio: 25,9°
Nousevan solmun pituus: 249,2°
Perihelin argumentti: 164,0°
Keskianomalia: 0,4°
Epookki: 2024 DEC 01 06:09:40
orbit plot

Ei-interaktiivinen kuvaaja | Interaktiivinen kuvaaja

position vs time
speed and acceleration