🇳🇴 🇬🇧 🇩🇪 🇨🇿 🇫🇮

Meteor Fjerdingbyn yllä 2024-12-03 01:19:39 UTC

KML-tiedosto  |  Interaktiivinen kartta

Kartta näyttää meteorin suuntahavainnot. Vaaleammat viivat näyttävät suunnat havaintoasemilta meteorin ilmestyessä, ja tummemmat viivat näyttävät, missä se viimeksi nähtiin. Sininen nuoli näyttää meteorin näkyvän lennon.

static map
height profile
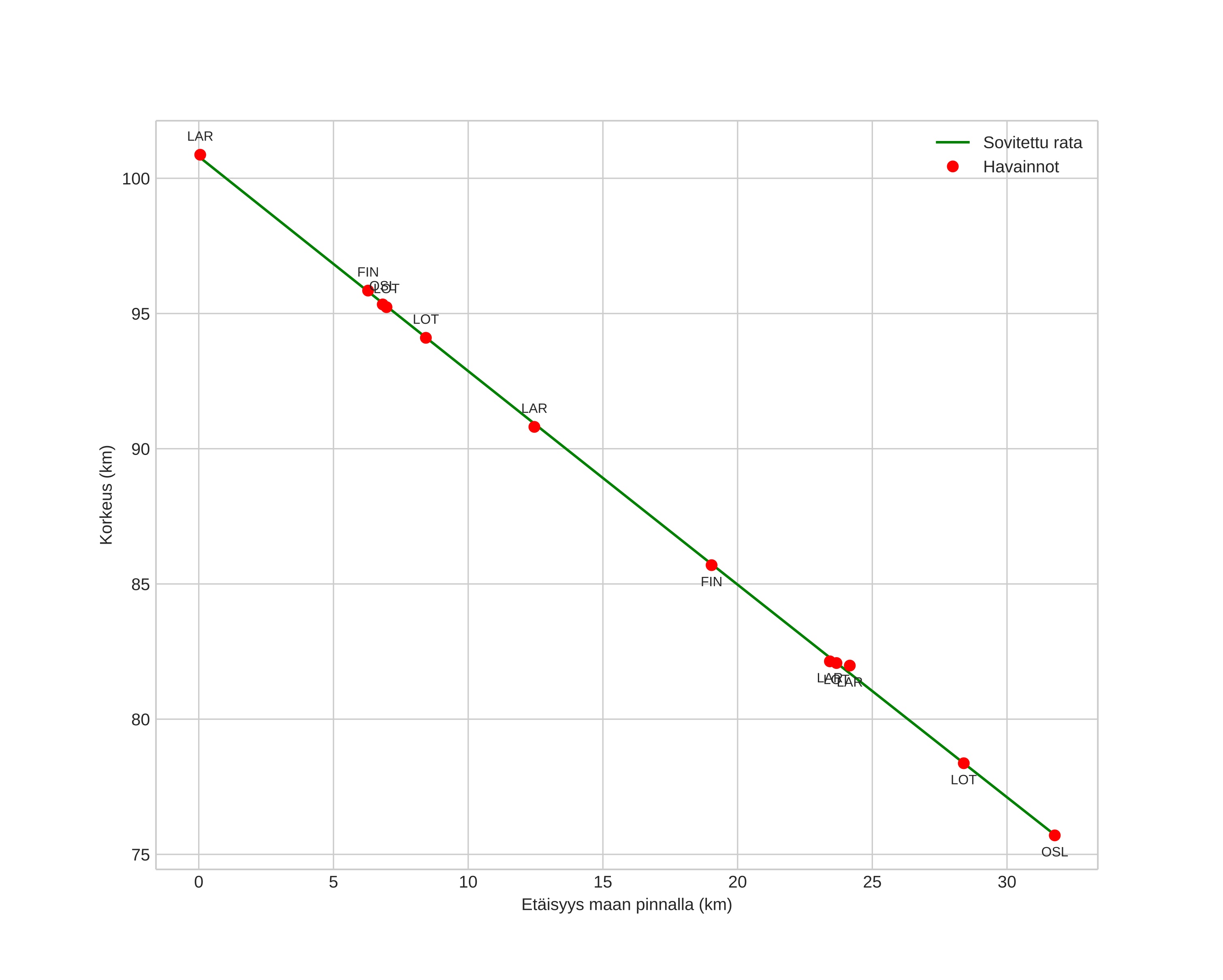
Meteorin ilmakehärata:
Alkukorkeus: 100,8 km
Loppukorkeus: 75,7 km
Alkupiste: 60,150N 10,984E
Loppupiste: 59,865N 11,059E
Suunta: 172,4°
Kallistuskulma: 38,2°
Tulonopeus: 23,0 km/s
Radiantin R,A,: 19:55 (298,9°)
Radiantin Dekl,: 63,7°
Meteoriparvi: Sporadinen
Meteoroidin rataelementit:
Perihelietäisyys: 0,984 AU
Eksentrisyys: 0,744
Inklinaatio: 29,9°
Nousevan solmun pituus: 251,0°
Perihelin argumentti: 185,8°
Keskianomalia: 359,4°
Epookki: 2024 DEC 03 01:19:39
orbit plot

Ei-interaktiivinen kuvaaja | Interaktiivinen kuvaaja

position vs time
speed and acceleration