🇳🇴 🇬🇧 🇩🇪 🇨🇿 🇫🇮

Meteor, poloha: Frydenberg 2024-12-03 01:34:39 UTC

Soubor KML  |  InteraktivnĂ­ mapa

Mapa zobrazuje dráhy meteoru. Světlejší čáry ukazují směry od pozorovacích stanic při objevení se meteoru a tmavší čáry, kde byl naposledy viděn. Modrá šipka značí viditelnou dráhu meteoru.

static map
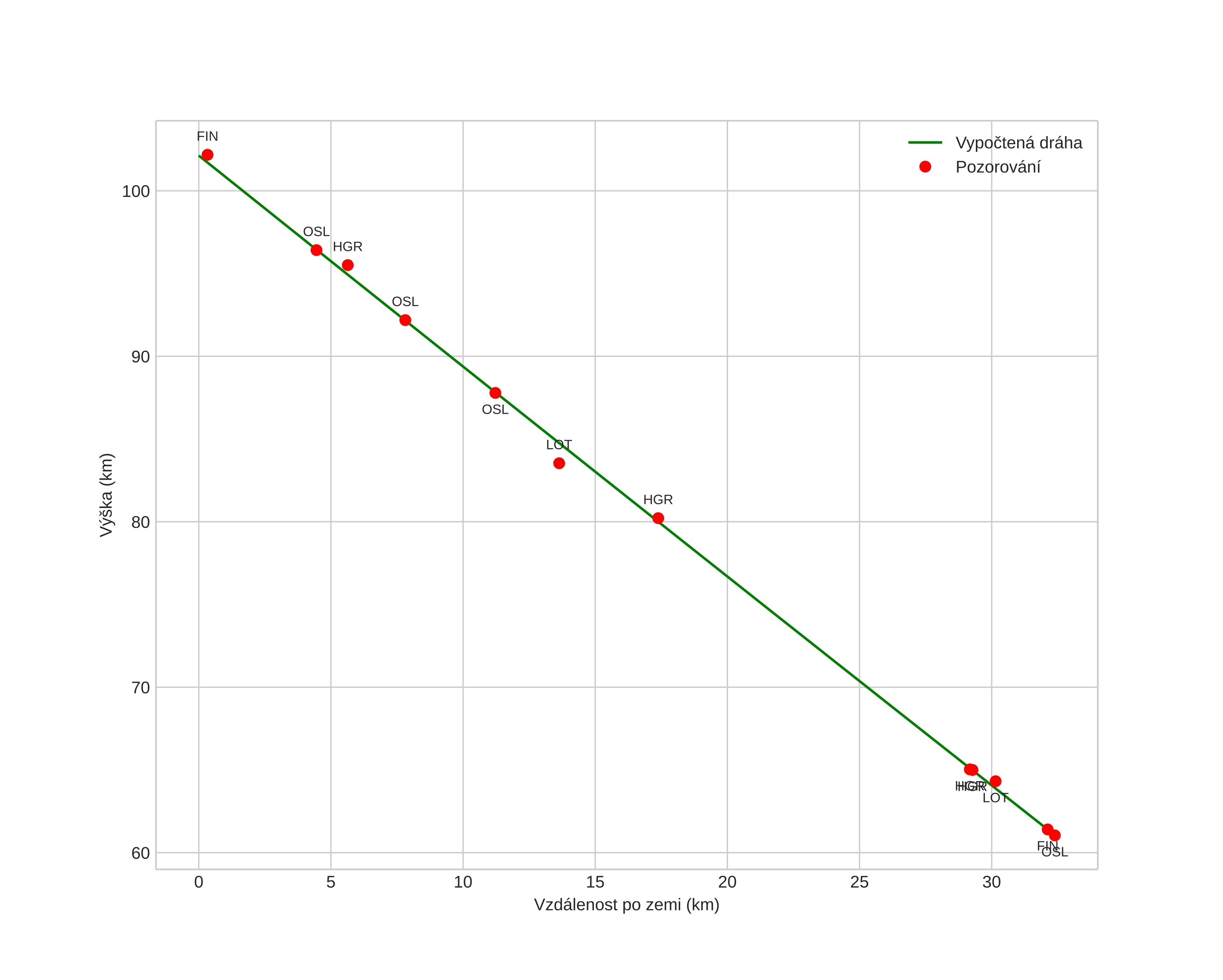
height profile
Atmosférická dráha meteoru:
Počáteční výška: 102,2 km
Konečná výška: 61,4 km
Počáteční poloha: 59,768N 10,417E
Konečná poloha: 59,974N 10,822E
Směr: 44,4°
Sklon: 51,7°
VstupnĂ­ rychlost: 26,5 km/s
Rektascenze radiantu: 05:02 (75,6°)
Deklinace radiantu: 25,1°
MeteorickĂ˝ roj: SevernĂ­ Tauridy
Elementy dráhy meteoroidu:
Vzdálenost v periheliu: 0,479 AU
Excentricita: 0,761
Sklon dráhy: 2,0°
Délka vzestupného uzlu: 250,9°
Argument perihelia: 281,0°
Střední anomálie: 344,4°
Epocha: 2024 DEC 03 01:34:39
orbit plot

NeinteraktivnĂ­ graf | InteraktivnĂ­ graf

position vs time
speed and acceleration