🇳🇴 🇬🇧 🇩🇪 🇨🇿 🇫🇮

Meteor, poloha: Prestfoss 2024-12-03 01:41:11 UTC

Soubor KML  |  InteraktivnĂ­ mapa

Mapa zobrazuje dráhy meteoru. Světlejší čáry ukazují směry od pozorovacích stanic při objevení se meteoru a tmavší čáry, kde byl naposledy viděn. Modrá šipka značí viditelnou dráhu meteoru.

static map
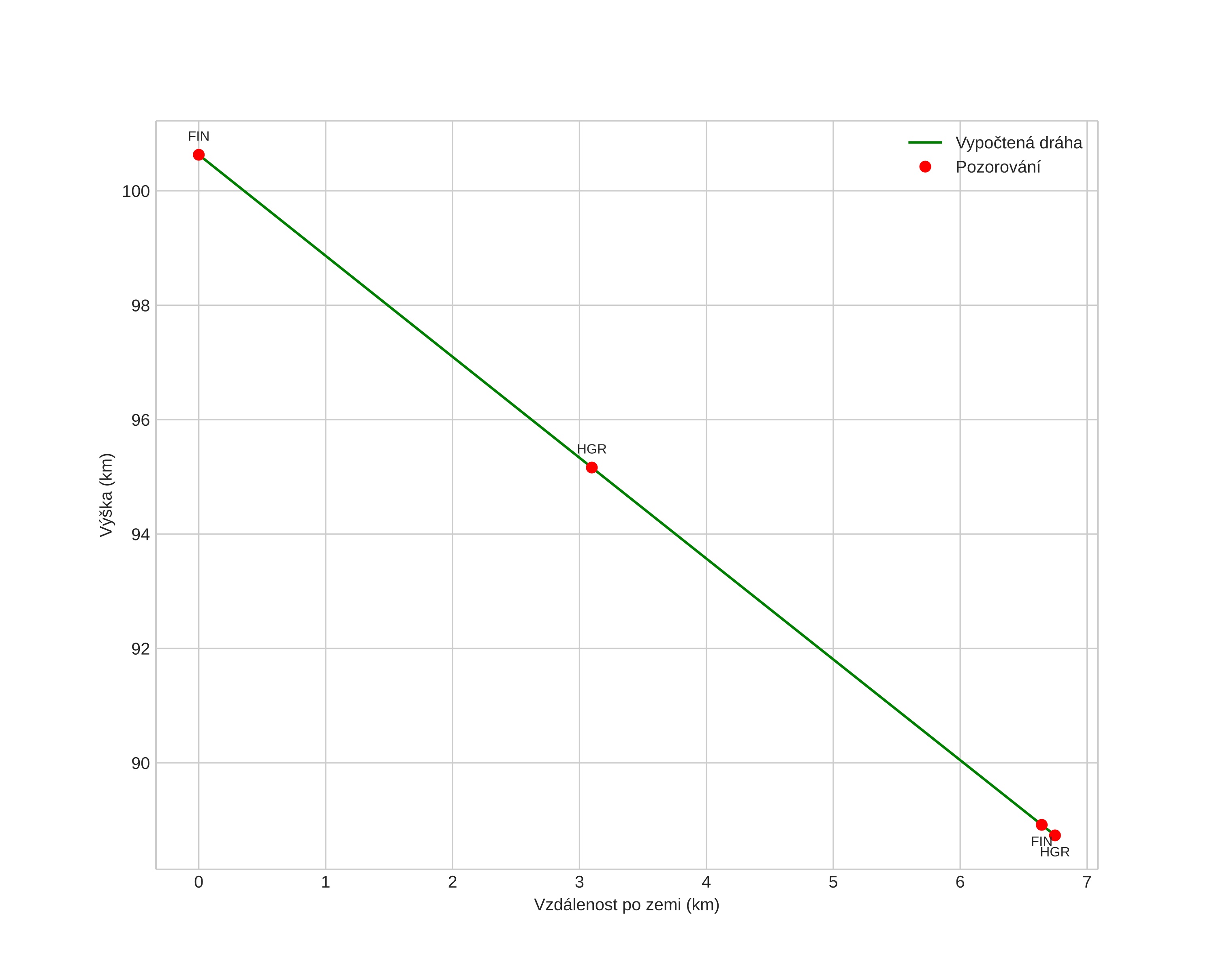
height profile
Atmosférická dráha meteoru:
Počáteční výška: 100,8 km
Konečná výška: 88,9 km
Počáteční poloha: 60,065N 9,692E
Konečná poloha: 60,014N 9,602E
Směr: 221,4°
Sklon: 57,6°
VstupnĂ­ rychlost: 49,6 km/s
Rektascenze radiantu: 12:23 (185,9°)
Deklinace radiantu: 69,0°
MeteorickĂ˝ roj: sporadickĂ˝
Elementy dráhy meteoroidu:
Vzdálenost v periheliu: 0,938 AU
Excentricita: 1,155
Sklon dráhy: 78,4°
Délka vzestupného uzlu: 251,0°
Argument perihelia: 204,6°
Střední anomálie: -1,1°
Epocha: 2024 DEC 03 01:41:11
orbit plot

NeinteraktivnĂ­ graf | InteraktivnĂ­ graf

position vs time
speed and acceleration