🇳🇴 🇬🇧 🇩🇪 🇨🇿 🇫🇮

Meteor Reinsvollin yllä 2024-12-03 01:54:18 UTC

KML-tiedosto  |  Interaktiivinen kartta

Kartta näyttää meteorin suuntahavainnot. Vaaleammat viivat näyttävät suunnat havaintoasemilta meteorin ilmestyessä, ja tummemmat viivat näyttävät, missä se viimeksi nähtiin. Sininen nuoli näyttää meteorin näkyvän lennon.

static map
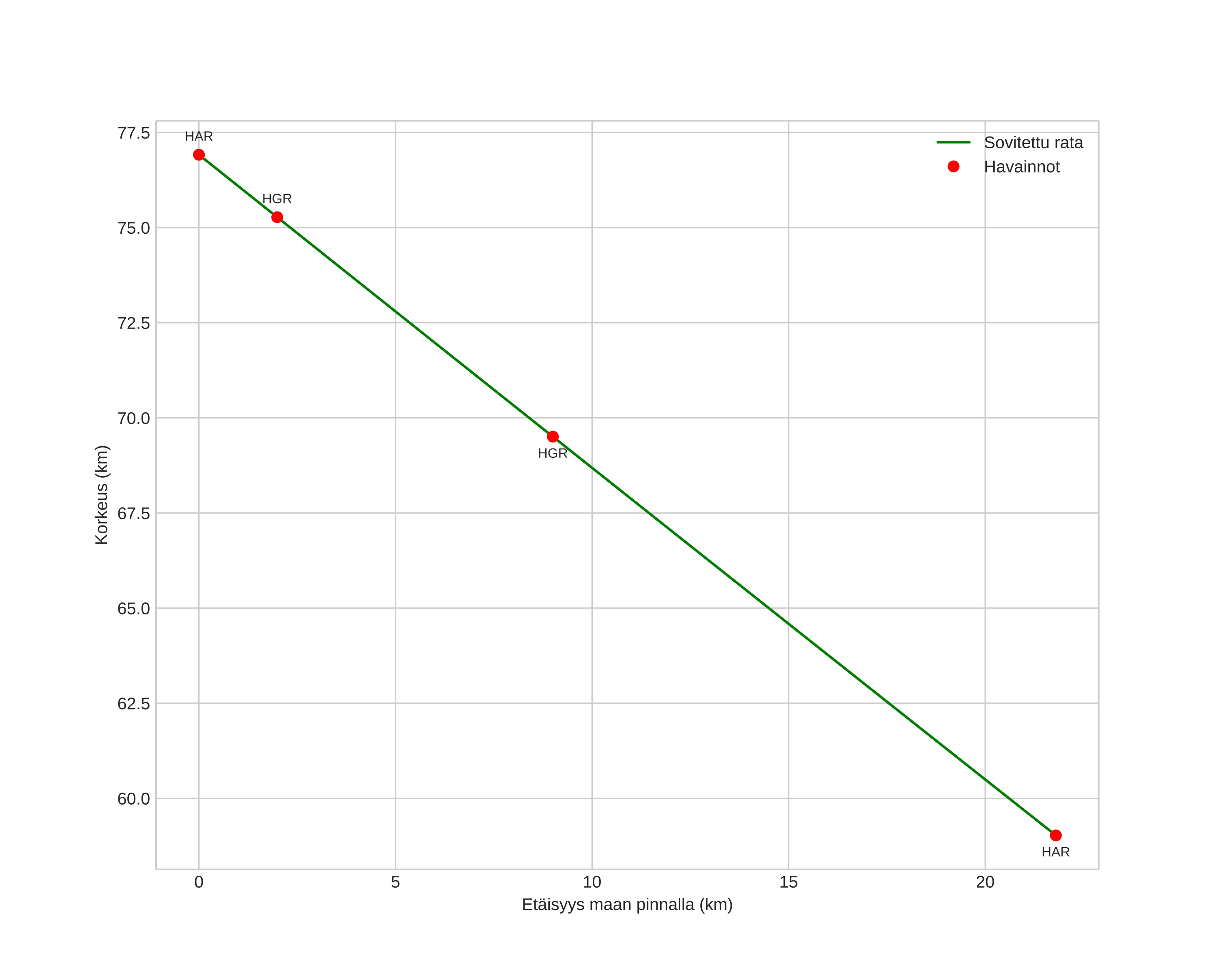
height profile
Meteorin ilmakehärata:
Alkukorkeus: 78,2 km
Loppukorkeus: 59,0 km
Alkupiste: 60,558N 10,167E
Loppupiste: 60,626N 10,571E
Suunta: 71,0°
Kallistuskulma: 39,5°
Tulonopeus: 14,9 km/s
Radiantin R,A,: 03:22 (50,7°)
Radiantin Dekl,: 15,9°
Meteoriparvi: Sporadinen
Meteoroidin rataelementit:
Perihelietäisyys: 0,850 AU
Eksentrisyys: 0,445
Inklinaatio: 0,8°
Nousevan solmun pituus: 71,3°
Perihelin argumentti: 56,2°
Keskianomalia: 338,5°
Epookki: 2024 DEC 03 01:54:18
orbit plot

Ei-interaktiivinen kuvaaja | Interaktiivinen kuvaaja

position vs time
speed and acceleration