🇳🇴 🇬🇧 🇩🇪 🇨🇿 🇫🇮

Meteor, poloha: Tysse 2024-12-03 01:58:47 UTC

Soubor KML  |  InteraktivnĂ­ mapa

Mapa zobrazuje dráhy meteoru. Světlejší čáry ukazují směry od pozorovacích stanic při objevení se meteoru a tmavší čáry, kde byl naposledy viděn. Modrá šipka značí viditelnou dráhu meteoru.

static map
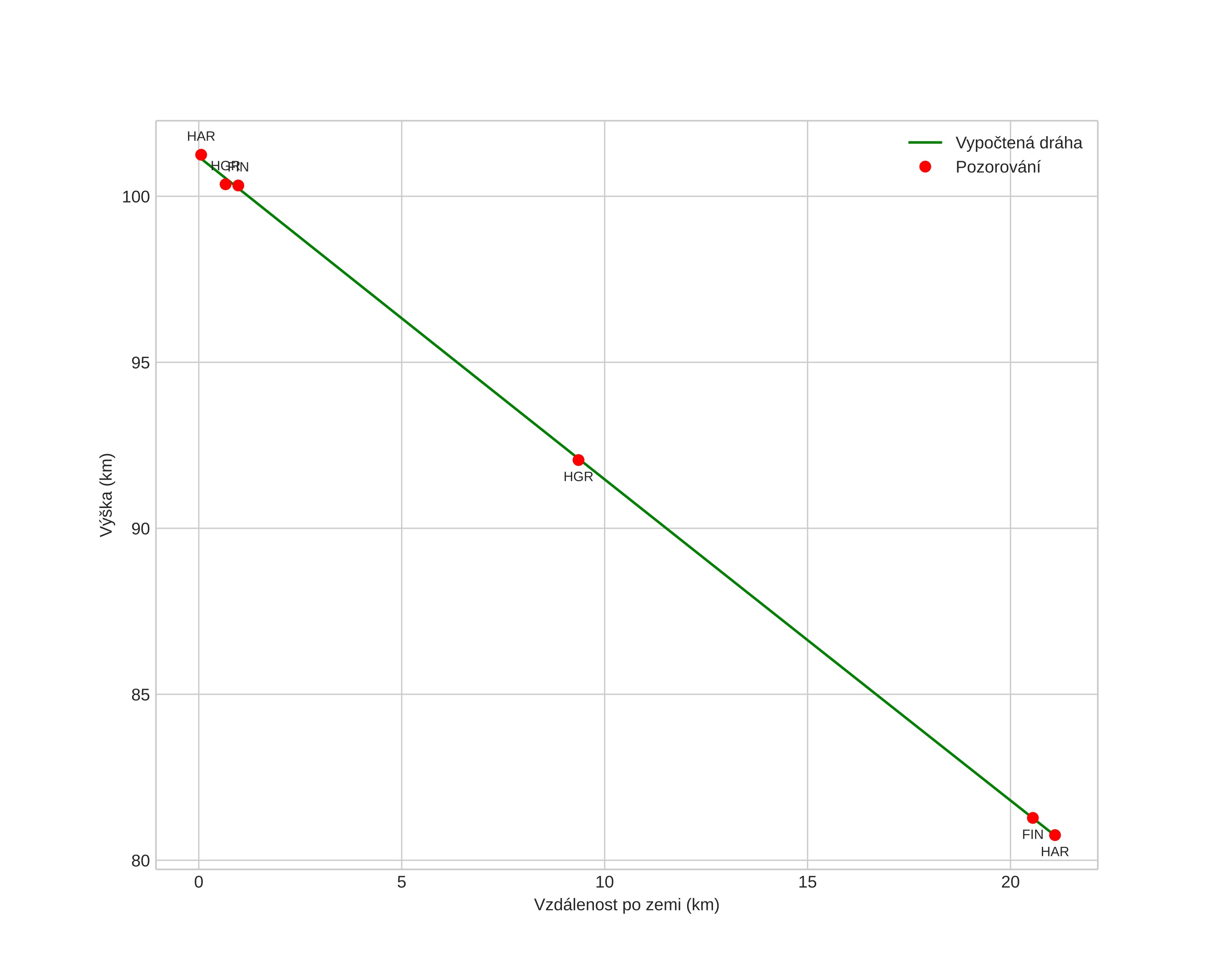
height profile
Atmosférická dráha meteoru:
Počáteční výška: 101,2 km
Konečná výška: 81,0 km
Počáteční poloha: 60,122N 5,829E
Konečná poloha: 60,303N 5,894E
Směr: 10,0°
Sklon: 44,6°
VstupnĂ­ rychlost: 40,0 km/s
Rektascenze radiantu: 06:38 (99,7°)
Deklinace radiantu: 14,0°
MeteorickĂ˝ roj: sporadickĂ˝
Elementy dráhy meteoroidu:
Vzdálenost v periheliu: 0,103 AU
Excentricita: 0,944
Sklon dráhy: 26,7°
Délka vzestupného uzlu: 71,1°
Argument perihelia: 147,6°
Střední anomálie: 346,5°
Epocha: 2024 DEC 03 01:58:47
orbit plot

NeinteraktivnĂ­ graf | InteraktivnĂ­ graf

position vs time
speed and acceleration