🇳🇴 🇬🇧 🇩🇪 🇨🇿 🇫🇮

Meteor, poloha: Orsa 2024-12-03 02:14:14 UTC

Soubor KML  |  InteraktivnĂ­ mapa

Mapa zobrazuje dráhy meteoru. Světlejší čáry ukazují směry od pozorovacích stanic při objevení se meteoru a tmavší čáry, kde byl naposledy viděn. Modrá šipka značí viditelnou dráhu meteoru.

static map
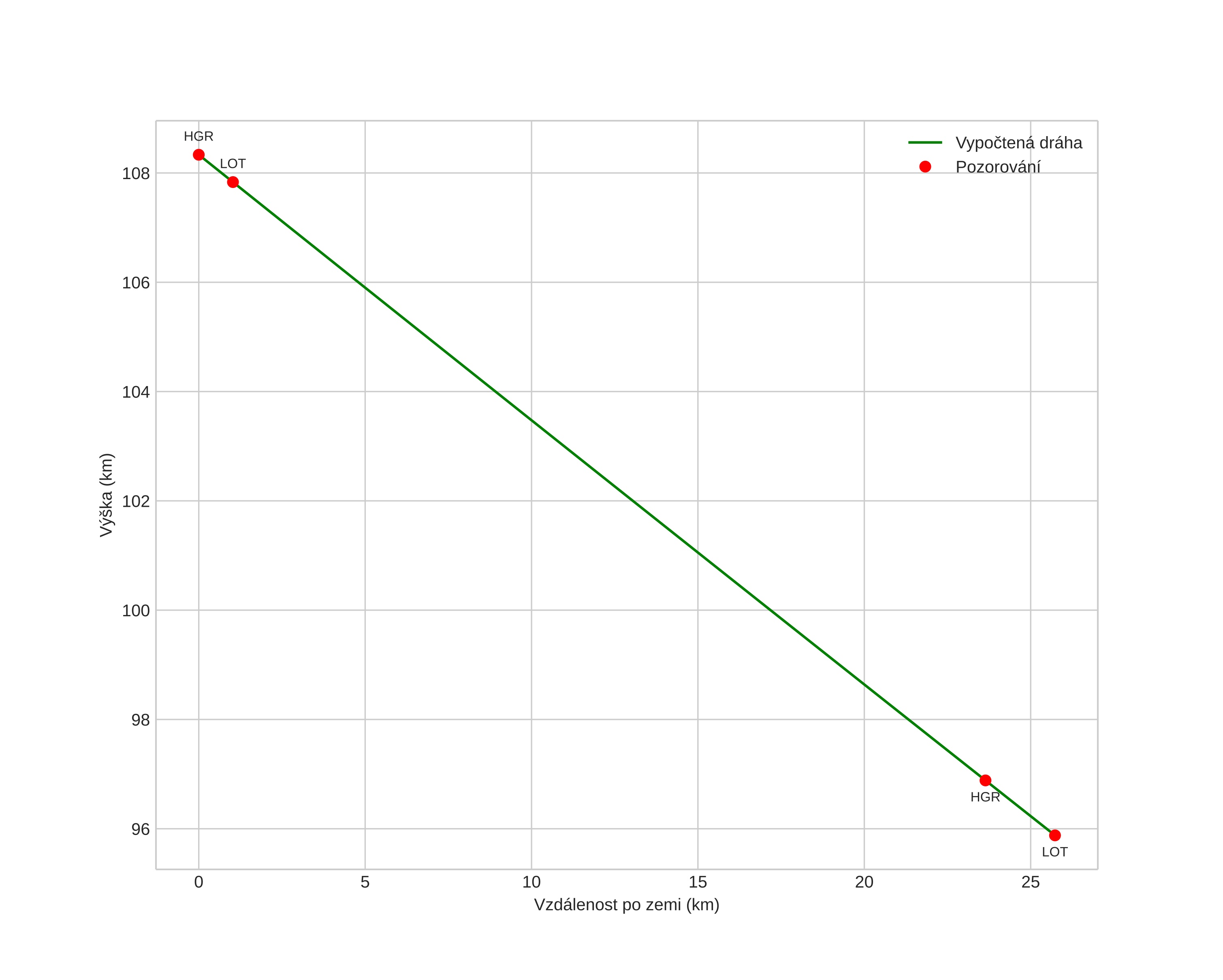
height profile
Atmosférická dráha meteoru:
Počáteční výška: 108,2 km
Konečná výška: 95,8 km
Počáteční poloha: 61,358N 14,874E
Konečná poloha: 61,570N 14,671E
Směr: 335,5°
Sklon: 25,5°
VstupnĂ­ rychlost: 69,7 km/s
Rektascenze radiantu: 09:29 (142,3°)
Deklinace radiantu: -1,2°
MeteorickĂ˝ roj: sporadickĂ˝
Elementy dráhy meteoroidu:
Vzdálenost v periheliu: 0,797 AU
Excentricita: 0,994
Sklon dráhy: 151,7°
Délka vzestupného uzlu: 71,1°
Argument perihelia: 52,0°
Střední anomálie: 360,0°
Epocha: 2024 DEC 03 02:14:14
orbit plot

NeinteraktivnĂ­ graf | InteraktivnĂ­ graf

position vs time
speed and acceleration