🇳🇴 🇬🇧 🇩🇪 🇨🇿 🇫🇮

Meteor, poloha: Heggenes 2024-12-03 02:51:13 UTC

Soubor KML  |  InteraktivnĂ­ mapa

Mapa zobrazuje dráhy meteoru. Světlejší čáry ukazují směry od pozorovacích stanic při objevení se meteoru a tmavší čáry, kde byl naposledy viděn. Modrá šipka značí viditelnou dráhu meteoru.

static map
height profile
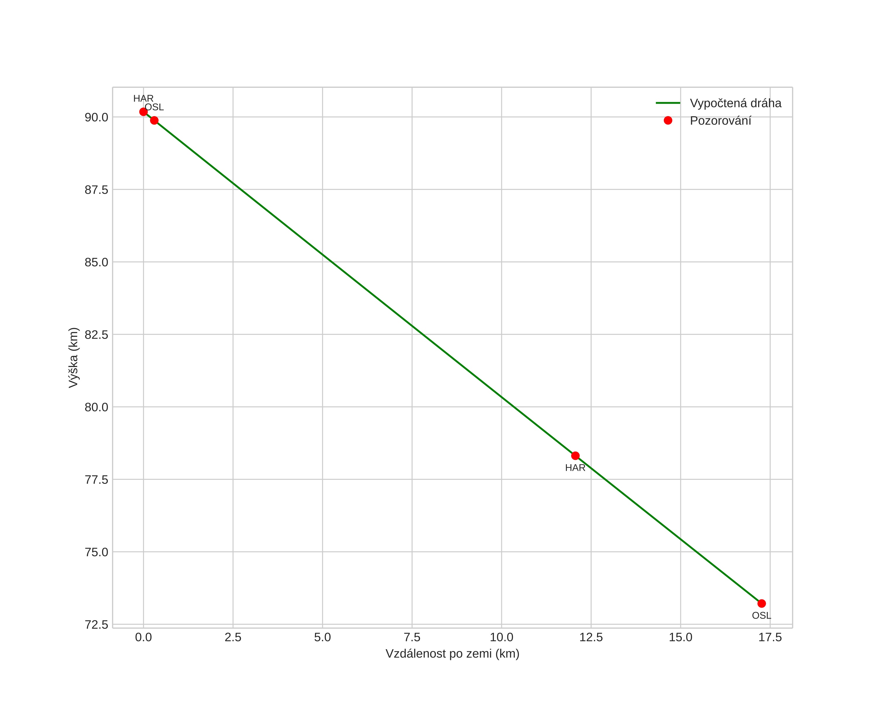
Atmosférická dráha meteoru:
Počáteční výška: 90,5 km
Konečná výška: 74,2 km
Počáteční poloha: 61,484N 8,669E
Konečná poloha: 61,480N 8,969E
Směr: 91,3°
Sklon: 45,6°
VstupnĂ­ rychlost: 40,2 km/s
Rektascenze radiantu: 03:50 (57,7°)
Deklinace radiantu: 38,4°
MeteorickĂ˝ roj: sporadickĂ˝
Elementy dráhy meteoroidu:
Vzdálenost v periheliu: 0,573 AU
Excentricita: 1,590
Sklon dráhy: 18,9°
Délka vzestupného uzlu: 251,1°
Argument perihelia: 251,5°
Střední anomálie: -30,0°
Epocha: 2024 DEC 03 02:51:13
orbit plot

NeinteraktivnĂ­ graf | InteraktivnĂ­ graf

position vs time
speed and acceleration