🇳🇴 🇬🇧 🇩🇪 🇨🇿 🇫🇮

Meteor, poloha: Innbygda 2024-12-03 03:07:33 UTC

Soubor KML  |  InteraktivnĂ­ mapa

Mapa zobrazuje dráhy meteoru. Světlejší čáry ukazují směry od pozorovacích stanic při objevení se meteoru a tmavší čáry, kde byl naposledy viděn. Modrá šipka značí viditelnou dráhu meteoru.

static map
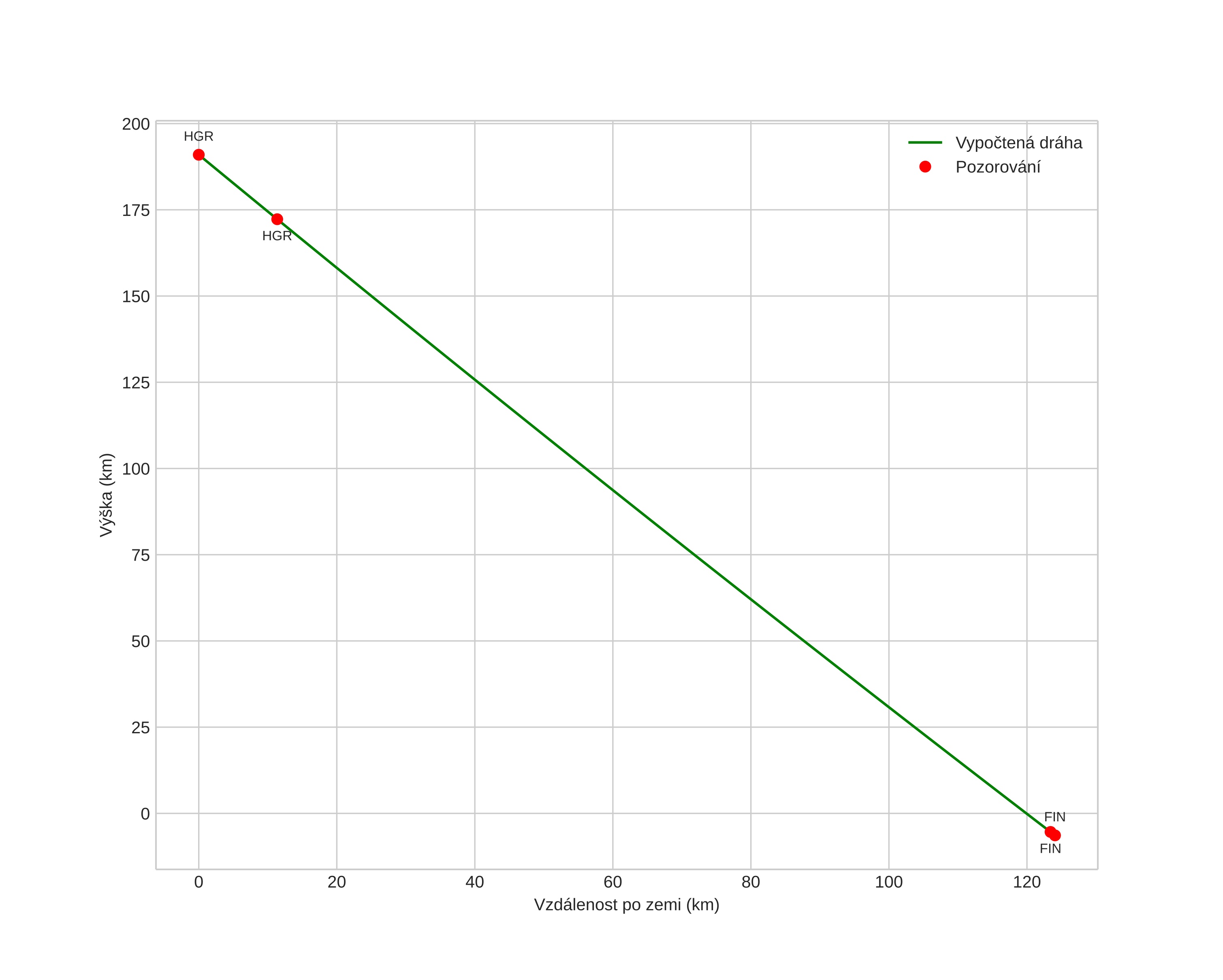
height profile
Atmosférická dráha meteoru:
Počáteční výška: 190,7 km
Konečná výška: -6,6 km
Počáteční poloha: 60,082N 11,320E
Konečná poloha: 60,975N 12,673E
Směr: 36,1°
Sklon: 57,9°
orbit plot
position vs time
speed and acceleration