🇳🇴 🇬🇧 🇩🇪 🇨🇿 🇫🇮

Meteor, poloha: Kongsvinger 2024-12-03 03:13:48 UTC

Soubor KML  |  InteraktivnĂ­ mapa

Mapa zobrazuje dráhy meteoru. Světlejší čáry ukazují směry od pozorovacích stanic při objevení se meteoru a tmavší čáry, kde byl naposledy viděn. Modrá šipka značí viditelnou dráhu meteoru.

static map
height profile
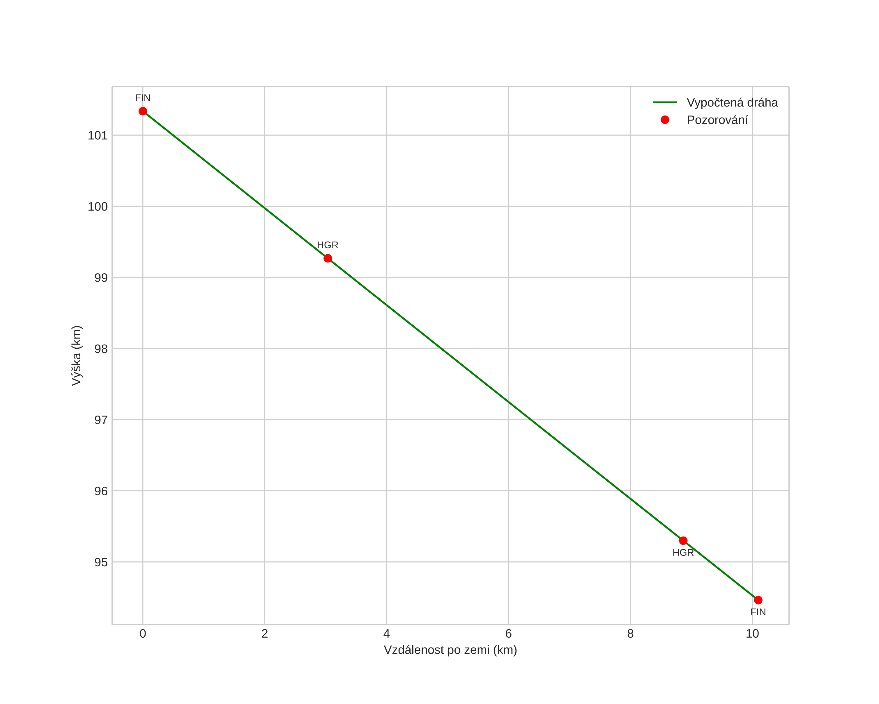
Atmosférická dráha meteoru:
Počáteční výška: 101,8 km
Konečná výška: 94,0 km
Počáteční poloha: 59,997N 11,885E
Konečná poloha: 60,073N 12,021E
Směr: 41,5°
Sklon: 34,5°
VstupnĂ­ rychlost: 54,0 km/s
Rektascenze radiantu: 06:32 (98,2°)
Deklinace radiantu: 9,8°
MeteorickĂ˝ roj: sporadickĂ˝
Elementy dráhy meteoroidu:
Vzdálenost v periheliu: 0,104 AU
Excentricita: 1,060
Sklon dráhy: 61,5°
Délka vzestupného uzlu: 71,1°
Argument perihelia: 137,6°
Střední anomálie: -12,3°
Epocha: 2024 DEC 03 03:13:48
orbit plot

NeinteraktivnĂ­ graf | InteraktivnĂ­ graf

position vs time
speed and acceleration