🇳🇴 🇬🇧 🇩🇪 🇨🇿 🇫🇮

Meteor, poloha: Ekshärad 2024-12-03 04:04:21 UTC

Soubor KML  |  InteraktivnĂ­ mapa

Mapa zobrazuje dráhy meteoru. Světlejší čáry ukazují směry od pozorovacích stanic při objevení se meteoru a tmavší čáry, kde byl naposledy viděn. Modrá šipka značí viditelnou dráhu meteoru.

static map
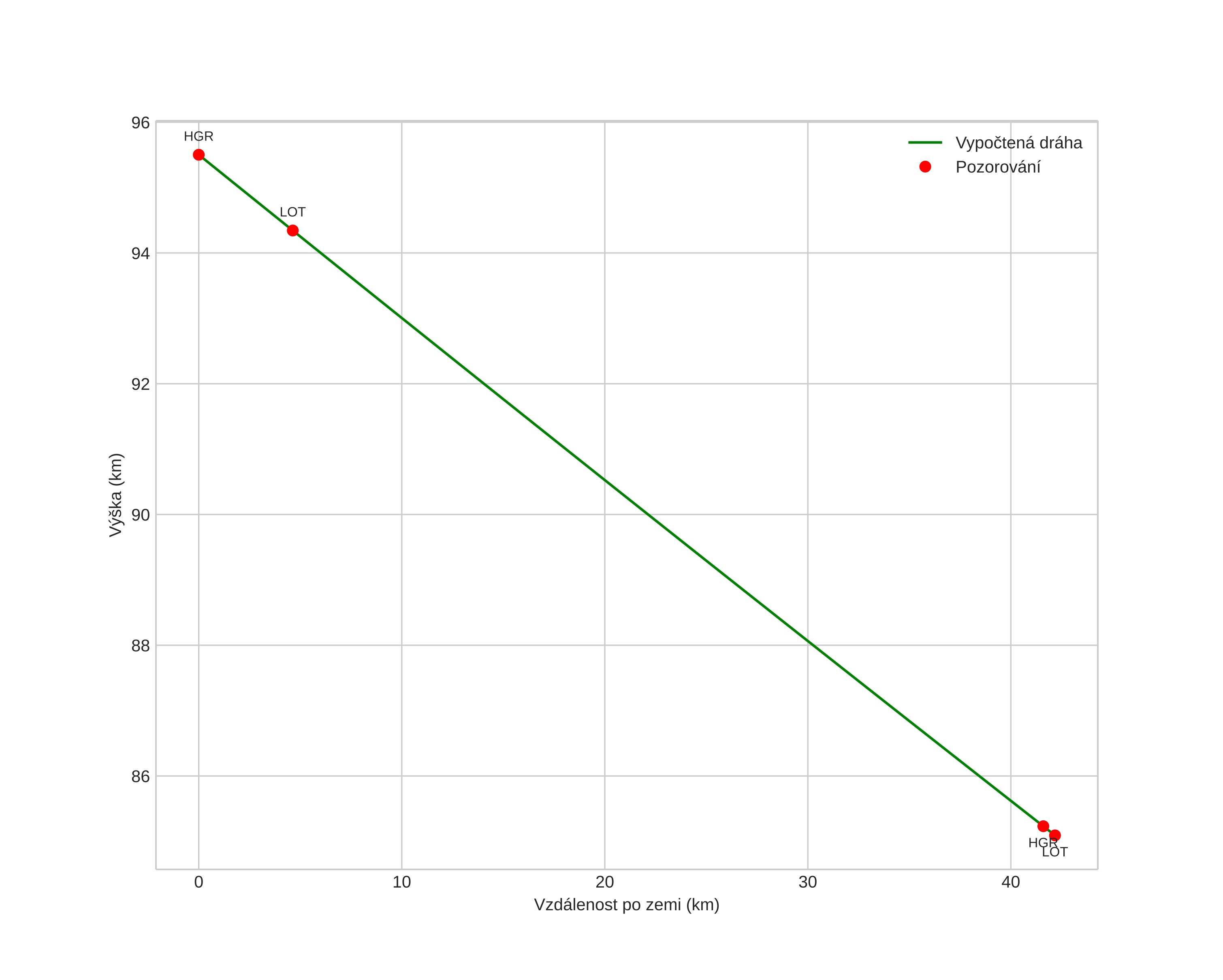
height profile
Atmosférická dráha meteoru:
Počáteční výška: 109,1 km
Konečná výška: 87,0 km
Počáteční poloha: 60,084N 13,317E
Konečná poloha: 60,379N 13,669E
Směr: 30,5°
Sklon: 30,1°
VstupnĂ­ rychlost: 62,4 km/s
Rektascenze radiantu: 08:00 (120,1°)
Deklinace radiantu: 3,1°
MeteorickĂ˝ roj: Sigma Hydridy
Elementy dráhy meteoroidu:
Vzdálenost v periheliu: 0,294 AU
Excentricita: 1,059
Sklon dráhy: 129,9°
Délka vzestupného uzlu: 71,1°
Argument perihelia: 111,3°
Střední anomálie: -3,0°
Epocha: 2024 DEC 03 04:04:21
orbit plot

NeinteraktivnĂ­ graf | InteraktivnĂ­ graf

position vs time
speed and acceleration