🇳🇴 🇬🇧 🇩🇪 🇨🇿 🇫🇮

Meteor Falkhyttan yllä 2024-12-03 04:05:52 UTC

KML-tiedosto  |  Interaktiivinen kartta

Kartta näyttää meteorin suuntahavainnot. Vaaleammat viivat näyttävät suunnat havaintoasemilta meteorin ilmestyessä, ja tummemmat viivat näyttävät, missä se viimeksi nähtiin. Sininen nuoli näyttää meteorin näkyvän lennon.

static map
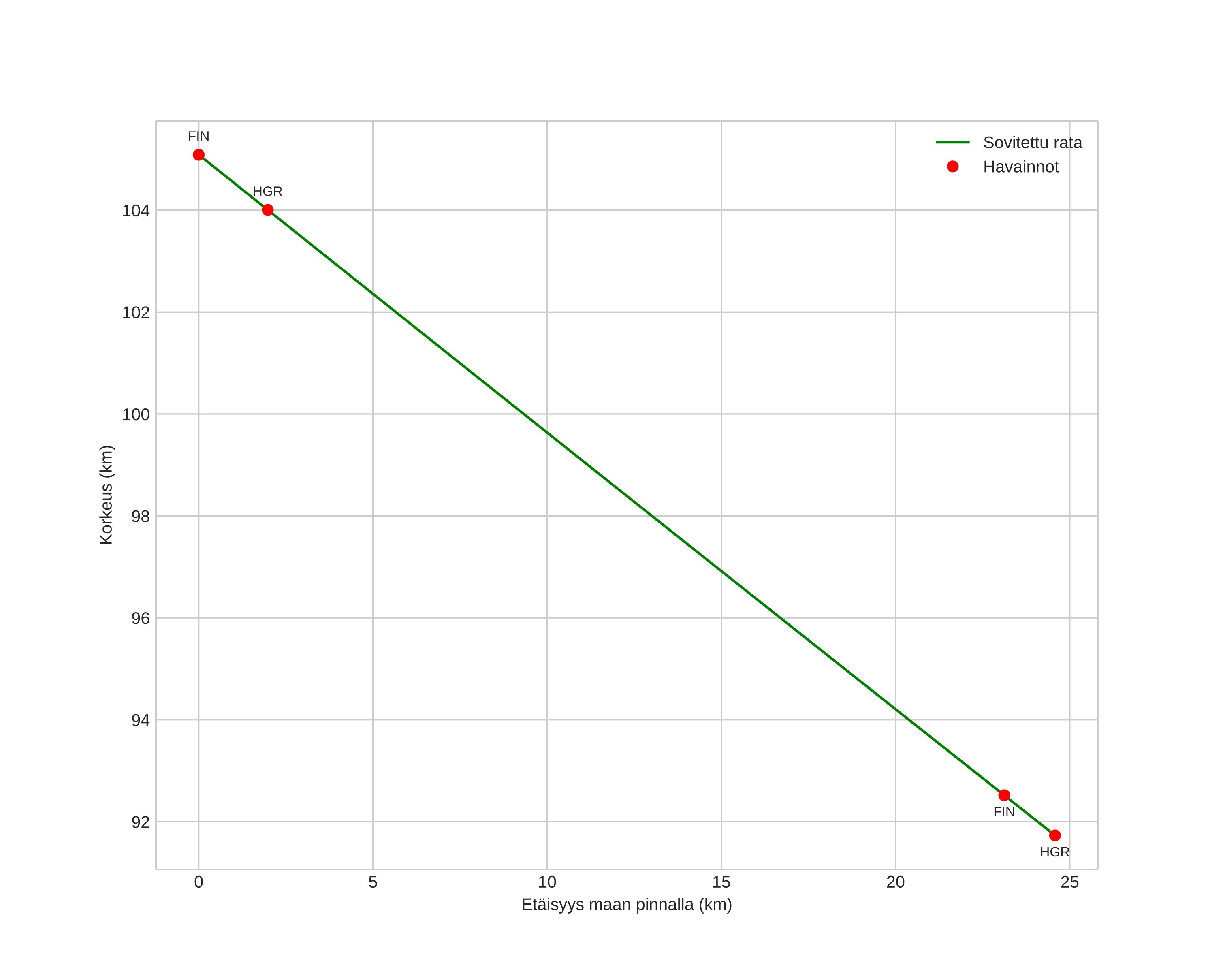
height profile
Meteorin ilmakehärata:
Alkukorkeus: 105,6 km
Loppukorkeus: 91,1 km
Alkupiste: 62,730N 6,713E
Loppupiste: 62,953N 6,876E
Suunta: 18,3°
Kallistuskulma: 29,1°
Tulonopeus: 62,8 km/s
Radiantin R,A,: 08:16 (124,0°)
Radiantin Dekl,: 2,5°
Meteoriparvi: Sigma-hydridit
Meteoroidin rataelementit:
Perihelietäisyys: 0,352 AU
Eksentrisyys: 1,017
Inklinaatio: 135,2°
Nousevan solmun pituus: 71,1°
Perihelin argumentti: 106,0°
Keskianomalia: -0,4°
Epookki: 2024 DEC 03 04:05:52
orbit plot

Ei-interaktiivinen kuvaaja | Interaktiivinen kuvaaja

position vs time
speed and acceleration

Hagar (HGR) cam1


gnomonic
Videot:
• Gnomoninen
• Gnomoninen koordinaateilla
• Alkuperäinen
• Alkuperäinen koordinaateilla
Kuvat:
• Gnomoninen
• Gnomoninen koordinaateilla
• Alkuperäinen
• Alkuperäinen koordinaateilla
Tekstitiedostot:
• Havaintoraportti
• Observaatio
• Loki
Kirkkaus