🇳🇴 🇬🇧 🇩🇪 🇨🇿 🇫🇮

Meteor, poloha: Fyresdal 2024-12-03 05:39:50 UTC

Soubor KML  |  InteraktivnĂ­ mapa

Mapa zobrazuje dráhy meteoru. Světlejší čáry ukazují směry od pozorovacích stanic při objevení se meteoru a tmavší čáry, kde byl naposledy viděn. Modrá šipka značí viditelnou dráhu meteoru.

static map
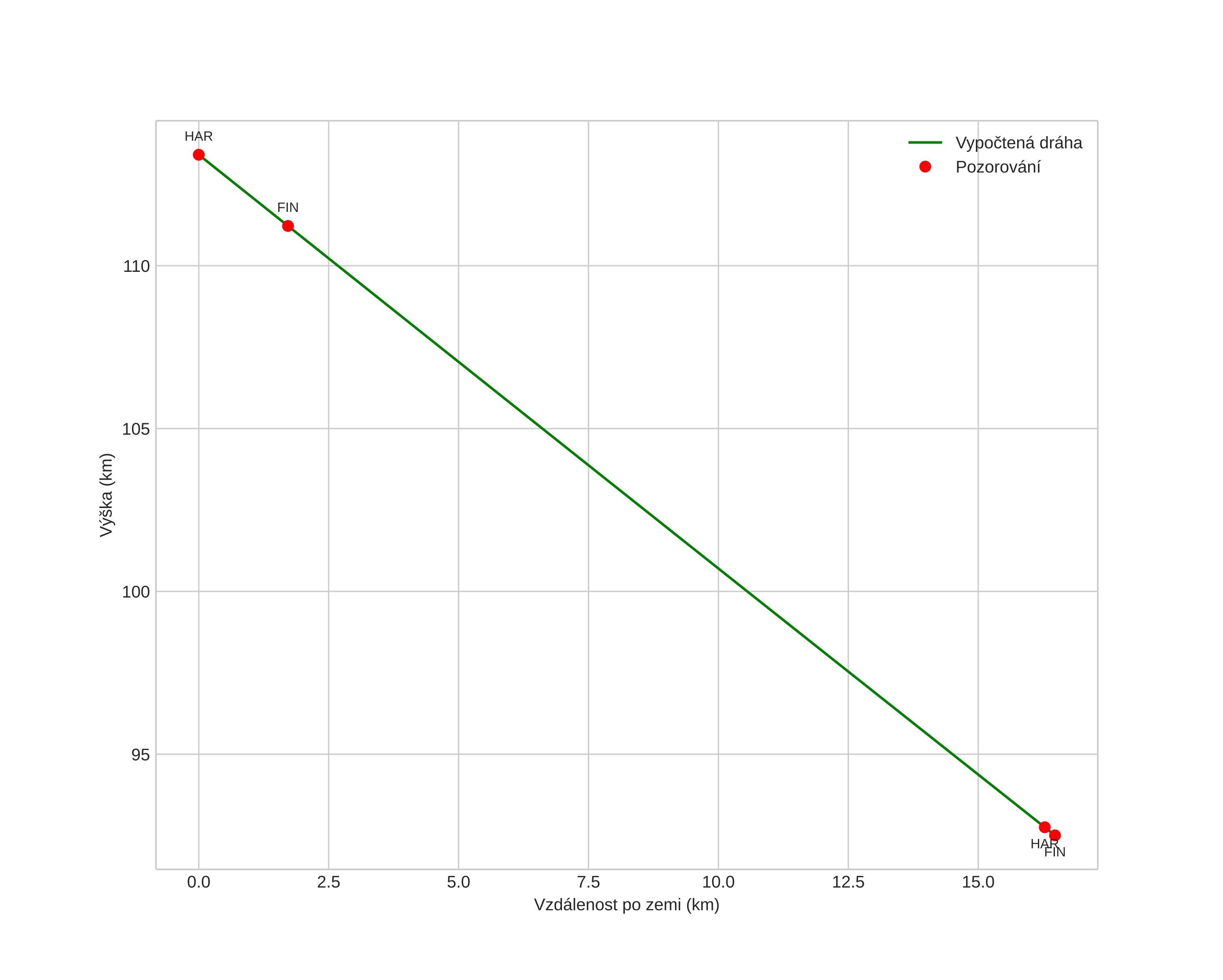
height profile
Atmosférická dráha meteoru:
Počáteční výška: 114,2 km
Konečná výška: 92,4 km
Počáteční poloha: 59,009N 8,148E
Konečná poloha: 59,133N 7,977E
Směr: 324,7°
Sklon: 52,3°
VstupnĂ­ rychlost: 73,0 km/s
Rektascenze radiantu: 12:32 (188,0°)
Deklinace radiantu: 24,7°
MeteorickĂ˝ roj: sporadickĂ˝
Elementy dráhy meteoroidu:
Vzdálenost v periheliu: 0,881 AU
Excentricita: 1,516
Sklon dráhy: 135,9°
Délka vzestupného uzlu: 251,2°
Argument perihelia: 145,4°
Střední anomálie: 8,7°
Epocha: 2024 DEC 03 05:39:50
orbit plot

NeinteraktivnĂ­ graf | InteraktivnĂ­ graf

position vs time
speed and acceleration

Finnskogen (FIN) cam4


gnomonic
Videa
• Gnomonická
• Gnomonická se souřadnicemi
• Původní
• Původní se souřadnicemi
Obrázky
• Gnomonická
• Gnomonická se souřadnicemi
• Původní
• Původní se souřadnicemi
Textové soubory
• Detekce
• Pozorování
• Protokol
Jasnost