🇳🇴 🇬🇧 🇩🇪 🇨🇿 🇫🇮

Meteor, poloha: Rjukan 2024-12-03 05:39:51 UTC

Soubor KML  |  InteraktivnĂ­ mapa

Mapa zobrazuje dráhy meteoru. Světlejší čáry ukazují směry od pozorovacích stanic při objevení se meteoru a tmavší čáry, kde byl naposledy viděn. Modrá šipka značí viditelnou dráhu meteoru.

static map
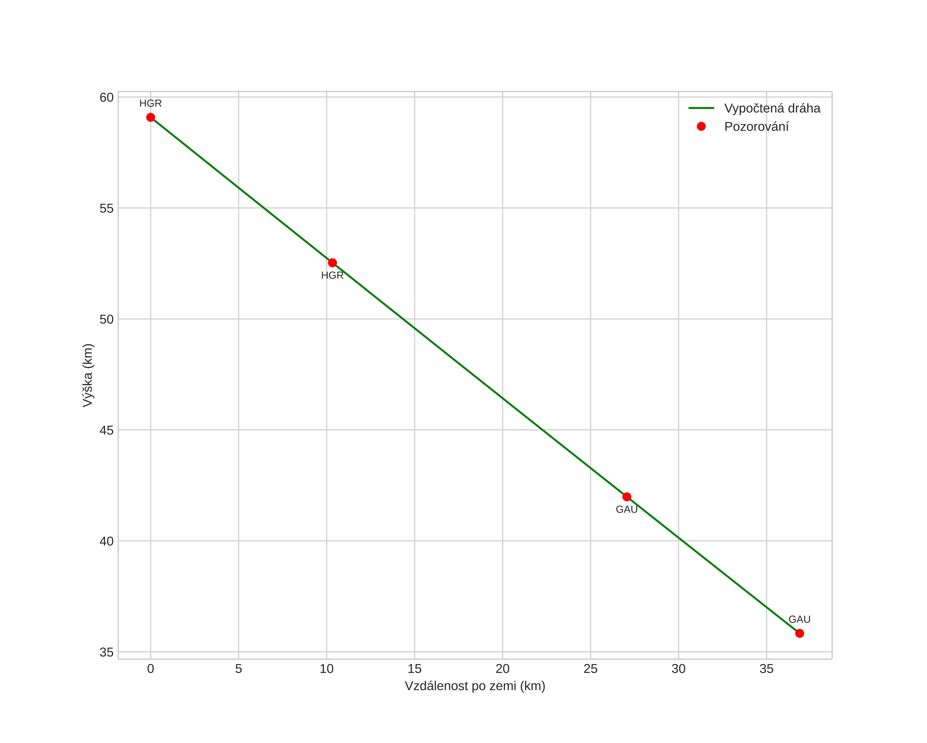
height profile
Atmosférická dráha meteoru:
Počáteční výška: 58,3 km
Konečná výška: 36,4 km
Počáteční poloha: 59,778N 9,295E
Konečná poloha: 59,760N 8,568E
Směr: 267,4°
Sklon: 28,3°
VstupnĂ­ rychlost: 35,1 km/s
Rektascenze radiantu: 16:17 (244,4°)
Deklinace radiantu: 24,1°
MeteorickĂ˝ roj: sporadickĂ˝
Elementy dráhy meteoroidu:
Vzdálenost v periheliu: 0,656 AU
Excentricita: 0,872
Sklon dráhy: 43,8°
Délka vzestupného uzlu: 251,2°
Argument perihelia: 106,4°
Střední anomálie: 3,3°
Epocha: 2024 DEC 03 05:39:51
orbit plot

NeinteraktivnĂ­ graf | InteraktivnĂ­ graf

position vs time
speed and acceleration

Gaustatoppen (GAU) cam7


gnomonic
Videa
• Gnomonická
• Gnomonická se souřadnicemi
• Původní
• Původní se souřadnicemi
Obrázky
• Gnomonická
• Gnomonická se souřadnicemi
• Původní
• Původní se souřadnicemi
Textové soubory
• Detekce
• Pozorování
• Protokol
Jasnost