🇳🇴 🇬🇧 🇩🇪 🇨🇿 🇫🇮

Meteor, poloha: Reinsvoll 2024-12-03 05:52:45 UTC

Soubor KML  |  InteraktivnĂ­ mapa

Mapa zobrazuje dráhy meteoru. Světlejší čáry ukazují směry od pozorovacích stanic při objevení se meteoru a tmavší čáry, kde byl naposledy viděn. Modrá šipka značí viditelnou dráhu meteoru.

static map
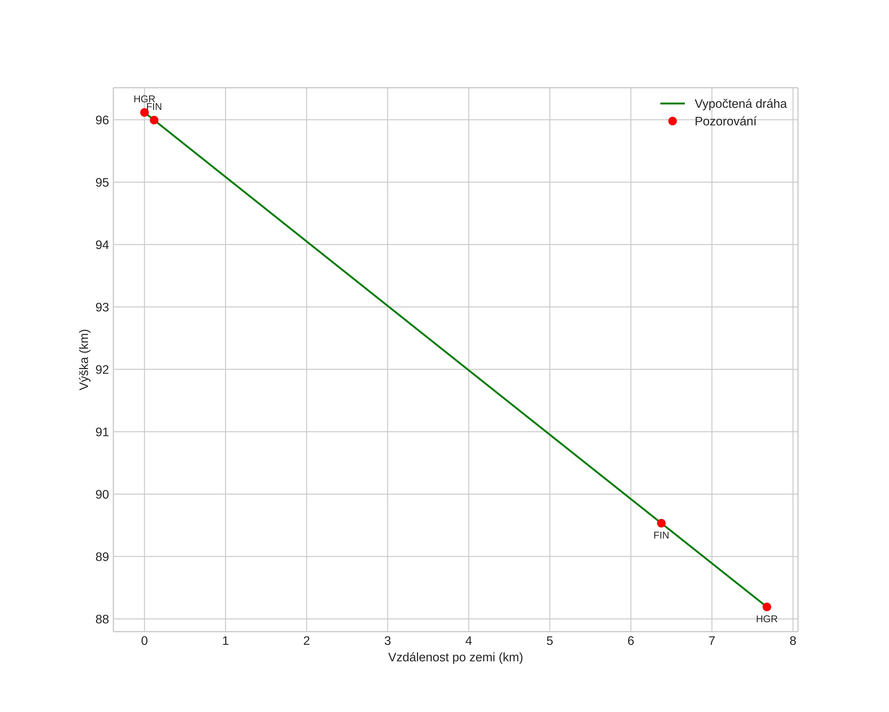
height profile
Atmosférická dráha meteoru:
Počáteční výška: 96,1 km
Konečná výška: 88,4 km
Počáteční poloha: 60,651N 10,691E
Konečná poloha: 60,612N 10,574E
Směr: 236,0°
Sklon: 45,1°
VstupnĂ­ rychlost: 21,1 km/s
Rektascenze radiantu: 17:40 (265,2°)
Deklinace radiantu: 51,8°
MeteorickĂ˝ roj: sporadickĂ˝
Elementy dráhy meteoroidu:
Vzdálenost v periheliu: 0,961 AU
Excentricita: 0,416
Sklon dráhy: 29,1°
Délka vzestupného uzlu: 251,2°
Argument perihelia: 156,3°
Střední anomálie: 9,0°
Epocha: 2024 DEC 03 05:52:45
orbit plot

NeinteraktivnĂ­ graf | InteraktivnĂ­ graf

position vs time
speed and acceleration

Finnskogen (FIN) cam4


gnomonic
Videa
• Gnomonická
• Gnomonická se souřadnicemi
• Původní
• Původní se souřadnicemi
Obrázky
• Gnomonická
• Gnomonická se souřadnicemi
• Původní
• Původní se souřadnicemi
Textové soubory
• Detekce
• Pozorování
• Protokol
Jasnost