🇳🇴 🇬🇧 🇩🇪 🇨🇿 🇫🇮

Meteor Skjønhaugin yllä 2024-12-03 06:08:04 UTC

KML-tiedosto  |  Interaktiivinen kartta

Kartta näyttää meteorin suuntahavainnot. Vaaleammat viivat näyttävät suunnat havaintoasemilta meteorin ilmestyessä, ja tummemmat viivat näyttävät, missä se viimeksi nähtiin. Sininen nuoli näyttää meteorin näkyvän lennon.

static map
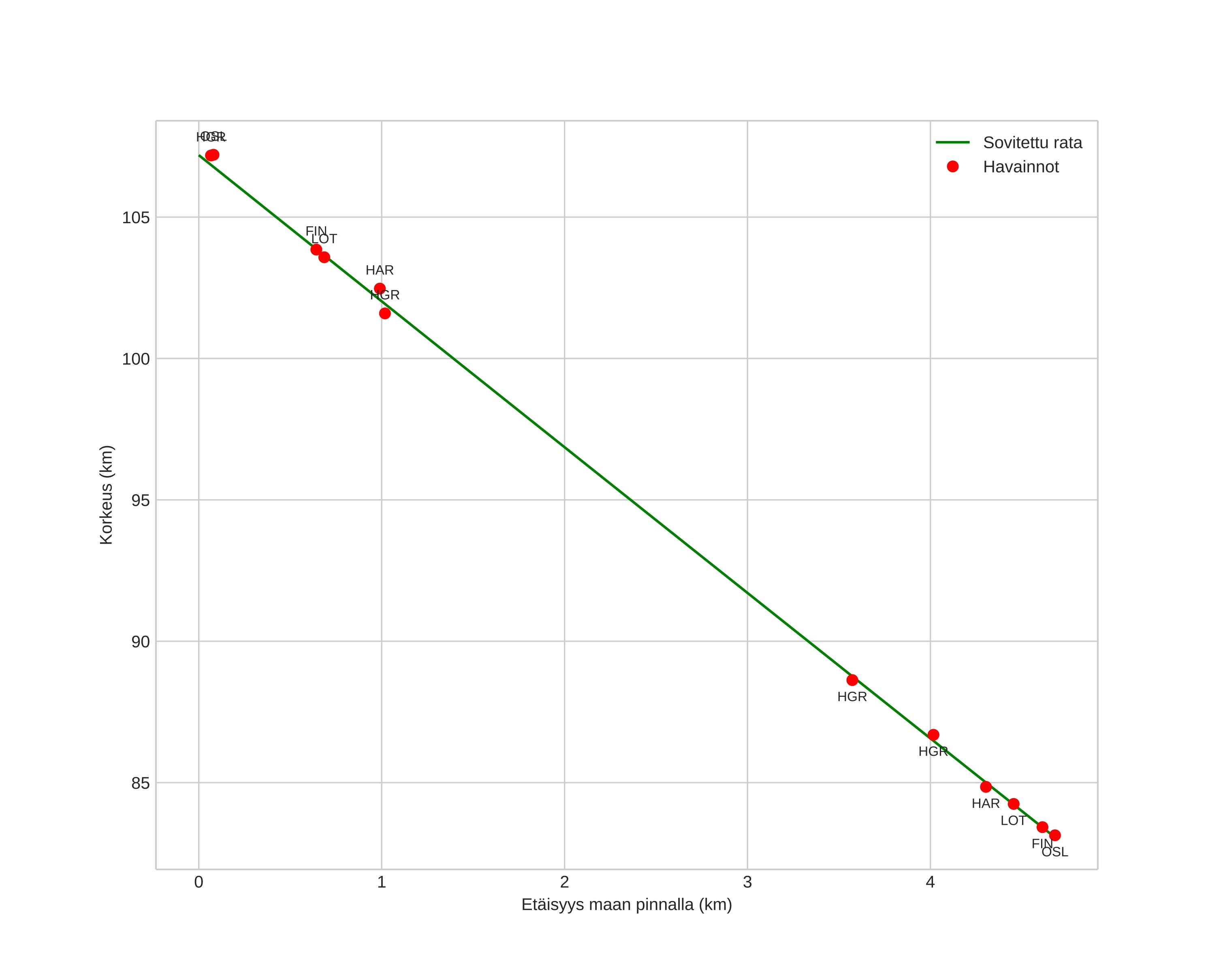
height profile
Meteorin ilmakehärata:
Alkukorkeus: 107,3 km
Loppukorkeus: 83,5 km
Alkupiste: 59,715N 11,461E
Loppupiste: 59,676N 11,441E
Suunta: 194,4°
Kallistuskulma: 79,3°
Tulonopeus: 42,3 km/s
Radiantin R,A,: 12:10 (182,6°)
Radiantin Dekl,: 70,2°
Meteoriparvi: Sporadinen
Meteoroidin rataelementit:
Perihelietäisyys: 0,910 AU
Eksentrisyys: 0,698
Inklinaatio: 70,7°
Nousevan solmun pituus: 251,2°
Perihelin argumentti: 215,5°
Keskianomalia: 355,2°
Epookki: 2024 DEC 03 06:08:04
orbit plot

Ei-interaktiivinen kuvaaja | Interaktiivinen kuvaaja

position vs time
speed and acceleration

Harestua (HAR) cam7


gnomonic
Videot:
• Gnomoninen
• Gnomoninen koordinaateilla
• Alkuperäinen
• Alkuperäinen koordinaateilla
Kuvat:
• Gnomoninen
• Gnomoninen koordinaateilla
• Gnomoninen merkinnöillä
• Alkuperäinen
• Alkuperäinen koordinaateilla
Tekstitiedostot:
• Havaintoraportti
• Observaatio
• Koordinaatit
• Loki
Kirkkaus