🇳🇴 🇬🇧 🇩🇪 🇨🇿 🇫🇮

Meteor, poloha: Rødberg 2024-12-03 16:17:24 UTC

Soubor KML  |  InteraktivnĂ­ mapa

Mapa zobrazuje dráhy meteoru. Světlejší čáry ukazují směry od pozorovacích stanic při objevení se meteoru a tmavší čáry, kde byl naposledy viděn. Modrá šipka značí viditelnou dráhu meteoru.

static map
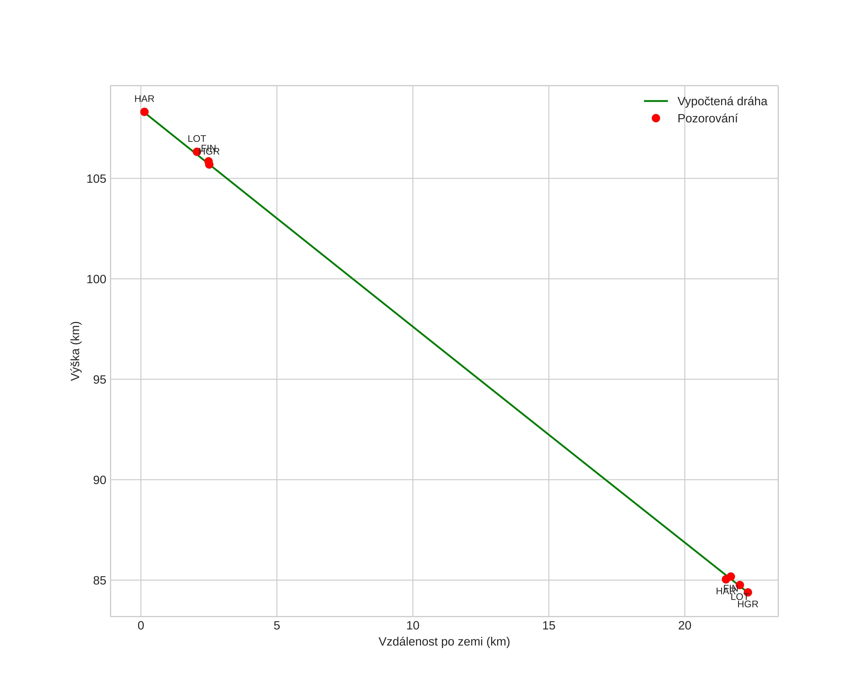
height profile
Atmosférická dráha meteoru:
Počáteční výška: 108,7 km
Konečná výška: 84,9 km
Počáteční poloha: 60,269N 8,784E
Konečná poloha: 60,077N 8,904E
Směr: 162,7°
Sklon: 46,8°
VstupnĂ­ rychlost: 45,1 km/s
Rektascenze radiantu: 12:40 (190,2°)
Deklinace radiantu: 72,6°
MeteorickĂ˝ roj: sporadickĂ˝
Elementy dráhy meteoroidu:
Vzdálenost v periheliu: 0,933 AU
Excentricita: 1,017
Sklon dráhy: 71,1°
Délka vzestupného uzlu: 251,7°
Argument perihelia: 206,7°
Střední anomálie: -0,0°
Epocha: 2024 DEC 03 16:17:24
orbit plot

NeinteraktivnĂ­ graf | InteraktivnĂ­ graf

position vs time
speed and acceleration