🇳🇴 🇬🇧 🇩🇪 🇨🇿 🇫🇮

Meteor, poloha: Geilo 2024-12-03 16:29:34 UTC

Soubor KML  |  InteraktivnĂ­ mapa

Mapa zobrazuje dráhy meteoru. Světlejší čáry ukazují směry od pozorovacích stanic při objevení se meteoru a tmavší čáry, kde byl naposledy viděn. Modrá šipka značí viditelnou dráhu meteoru.

static map
height profile
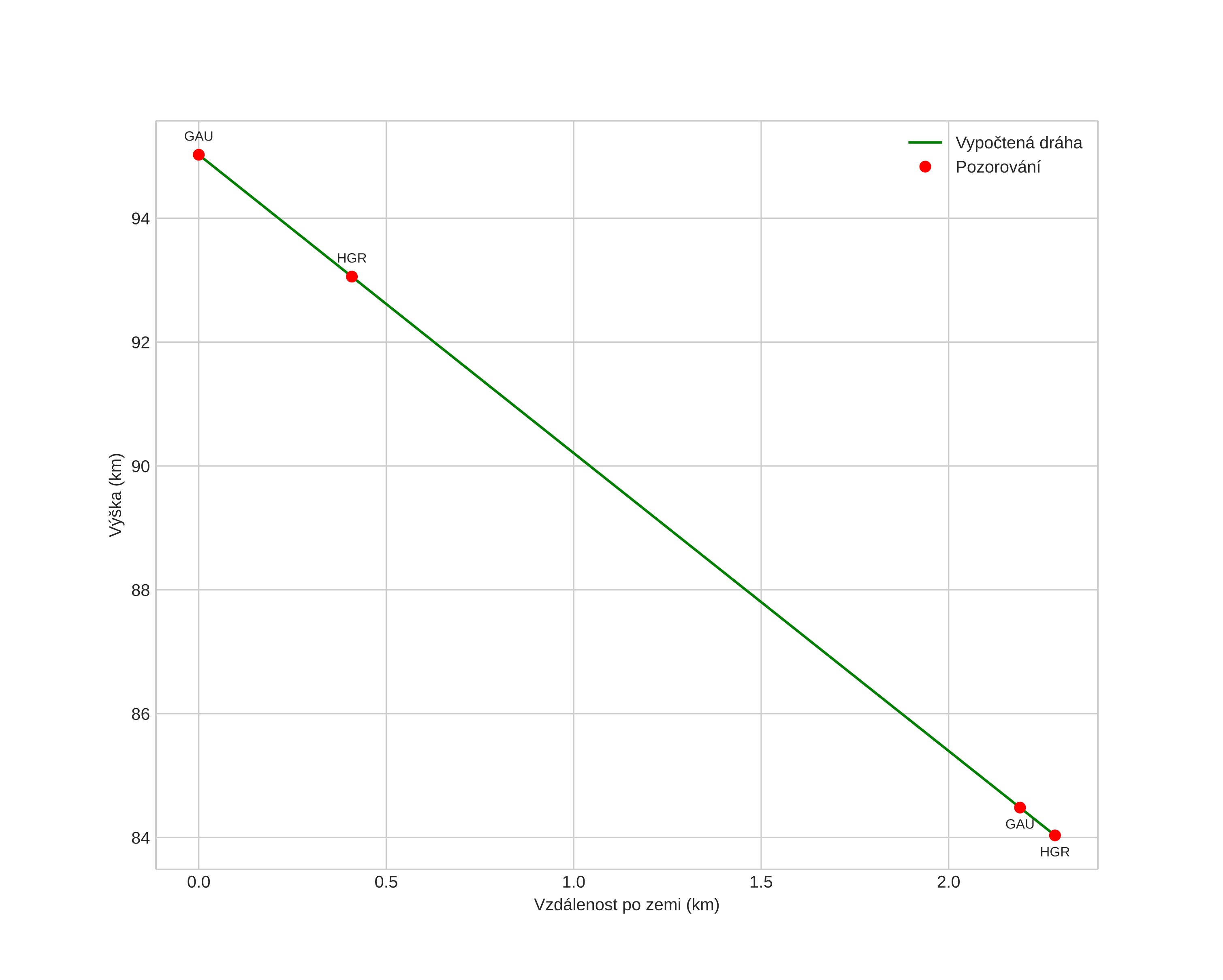
Atmosférická dráha meteoru:
Počáteční výška: 95,0 km
Konečná výška: 84,0 km
Počáteční poloha: 60,282N 7,743E
Konečná poloha: 60,265N 7,765E
Směr: 149,1°
Sklon: 78,2°
VstupnĂ­ rychlost: 26,4 km/s
Rektascenze radiantu: 20:31 (308,0°)
Deklinace radiantu: 69,6°
MeteorickĂ˝ roj: sporadickĂ˝
Elementy dráhy meteoroidu:
Vzdálenost v periheliu: 0,973 AU
Excentricita: 0,929
Sklon dráhy: 34,3°
Délka vzestupného uzlu: 251,7°
Argument perihelia: 193,3°
Střední anomálie: 359,8°
Epocha: 2024 DEC 03 16:29:34
orbit plot

NeinteraktivnĂ­ graf | InteraktivnĂ­ graf

position vs time
speed and acceleration