🇳🇴 🇬🇧 🇩🇪 🇨🇿 🇫🇮

Meteor, poloha: Hovden 2024-12-03 16:57:22 UTC

Soubor KML  |  InteraktivnĂ­ mapa

Mapa zobrazuje dráhy meteoru. Světlejší čáry ukazují směry od pozorovacích stanic při objevení se meteoru a tmavší čáry, kde byl naposledy viděn. Modrá šipka značí viditelnou dráhu meteoru.

static map
height profile
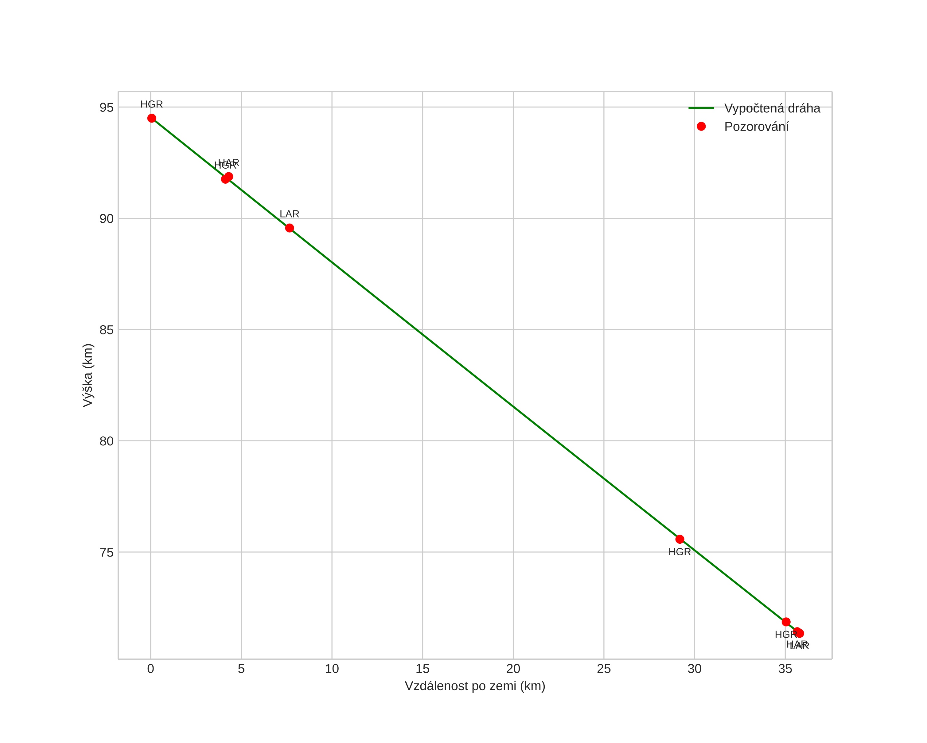
Atmosférická dráha meteoru:
Počáteční výška: 95,6 km
Konečná výška: 71,3 km
Počáteční poloha: 59,674N 7,960E
Konečná poloha: 59,725N 7,298E
Směr: 279,1°
Sklon: 32,9°
VstupnĂ­ rychlost: 17,0 km/s
Rektascenze radiantu: 02:57 (44,3°)
Deklinace radiantu: 16,5°
MeteorickĂ˝ roj: sporadickĂ˝
Elementy dráhy meteoroidu:
Vzdálenost v periheliu: 0,857 AU
Excentricita: 0,617
Sklon dráhy: 0,1°
Délka vzestupného uzlu: 73,0°
Argument perihelia: 47,5°
Střední anomálie: 350,0°
Epocha: 2024 DEC 03 16:57:22
orbit plot

NeinteraktivnĂ­ graf | InteraktivnĂ­ graf

position vs time
speed and acceleration