🇳🇴 🇬🇧 🇩🇪 🇨🇿 🇫🇮

Meteor, poloha: Hovden 2024-12-03 16:57:23 UTC

Soubor KML  |  InteraktivnĂ­ mapa

Mapa zobrazuje dráhy meteoru. Světlejší čáry ukazují směry od pozorovacích stanic při objevení se meteoru a tmavší čáry, kde byl naposledy viděn. Modrá šipka značí viditelnou dráhu meteoru.

static map
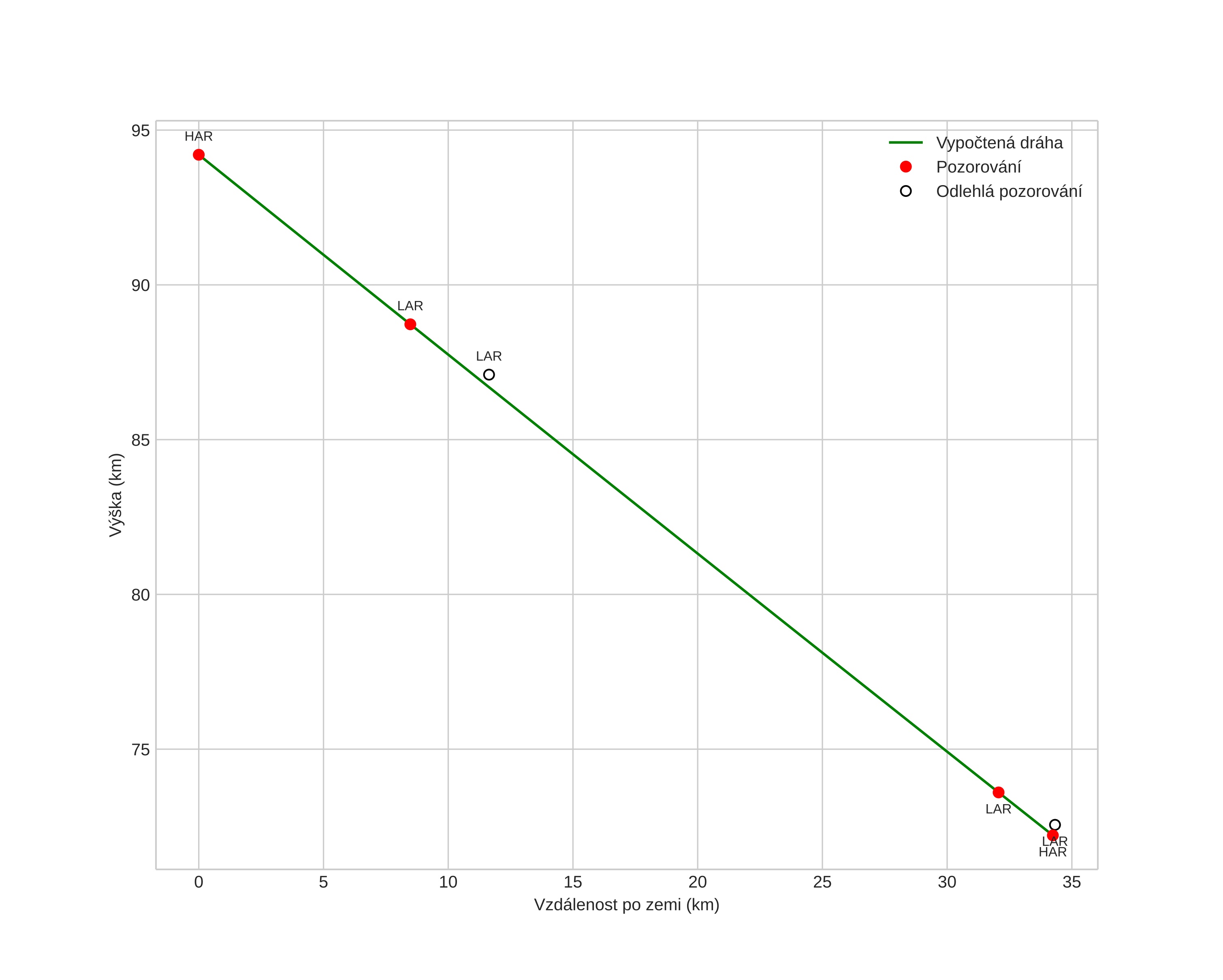
height profile
Atmosférická dráha meteoru:
Počáteční výška: 94,6 km
Konečná výška: 72,2 km
Počáteční poloha: 59,675N 7,946E
Konečná poloha: 59,724N 7,330E
Směr: 279,3°
Sklon: 32,6°
VstupnĂ­ rychlost: 17,7 km/s
Rektascenze radiantu: 02:55 (43,8°)
Deklinace radiantu: 16,8°
MeteorickĂ˝ roj: sporadickĂ˝
Elementy dráhy meteoroidu:
Vzdálenost v periheliu: 0,853 AU
Excentricita: 0,665
Sklon dráhy: 0,0°
Délka vzestupného uzlu: 244,4°
Argument perihelia: 235,9°
Střední anomálie: 351,9°
Epocha: 2024 DEC 03 16:57:23
orbit plot

NeinteraktivnĂ­ graf | InteraktivnĂ­ graf

position vs time
speed and acceleration