🇳🇴 🇬🇧 🇩🇪 🇨🇿 🇫🇮

Meteor, poloha: Seljord 2024-12-03 18:38:06 UTC

Soubor KML  |  InteraktivnĂ­ mapa

Mapa zobrazuje dráhy meteoru. Světlejší čáry ukazují směry od pozorovacích stanic při objevení se meteoru a tmavší čáry, kde byl naposledy viděn. Modrá šipka značí viditelnou dráhu meteoru.

static map
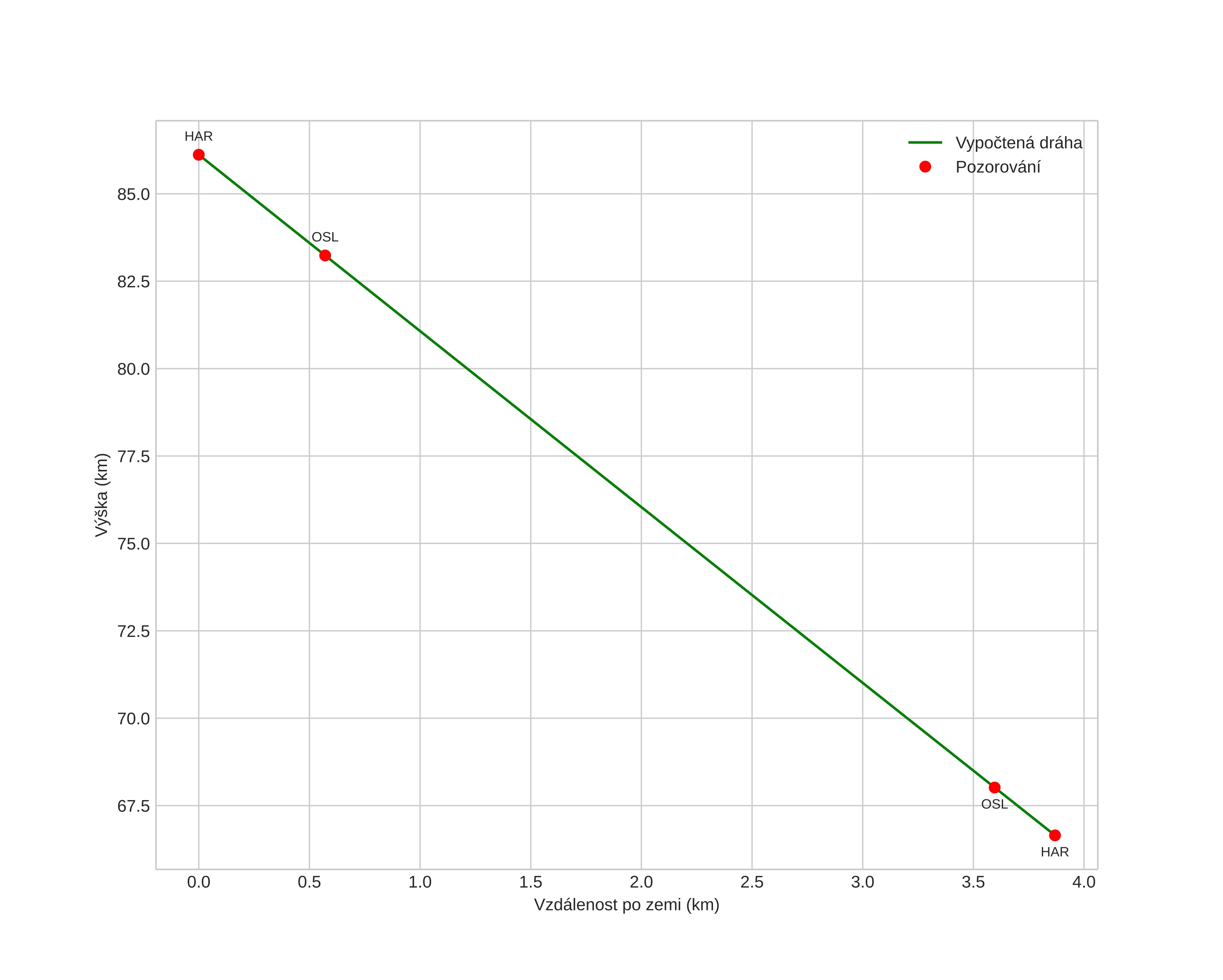
height profile
Atmosférická dráha meteoru:
Počáteční výška: 86,5 km
Konečná výška: 66,4 km
Počáteční poloha: 59,587N 8,705E
Konečná poloha: 59,560N 8,742E
Směr: 145,4°
Sklon: 79,7°
VstupnĂ­ rychlost: 22,5 km/s
Rektascenze radiantu: 22:51 (342,8°)
Deklinace radiantu: 67,3°
MeteorickĂ˝ roj: sporadickĂ˝
Elementy dráhy meteoroidu:
Vzdálenost v periheliu: 0,948 AU
Excentricita: 0,803
Sklon dráhy: 26,2°
Délka vzestupného uzlu: 251,7°
Argument perihelia: 203,9°
Střední anomálie: 358,4°
Epocha: 2024 DEC 03 18:38:06
orbit plot

NeinteraktivnĂ­ graf | InteraktivnĂ­ graf

position vs time
speed and acceleration