🇳🇴 🇬🇧 🇩🇪 🇨🇿 🇫🇮

Meteor, poloha: Ă…mot 2024-12-03 19:52:37 UTC

Soubor KML  |  InteraktivnĂ­ mapa

Mapa zobrazuje dráhy meteoru. Světlejší čáry ukazují směry od pozorovacích stanic při objevení se meteoru a tmavší čáry, kde byl naposledy viděn. Modrá šipka značí viditelnou dráhu meteoru.

static map
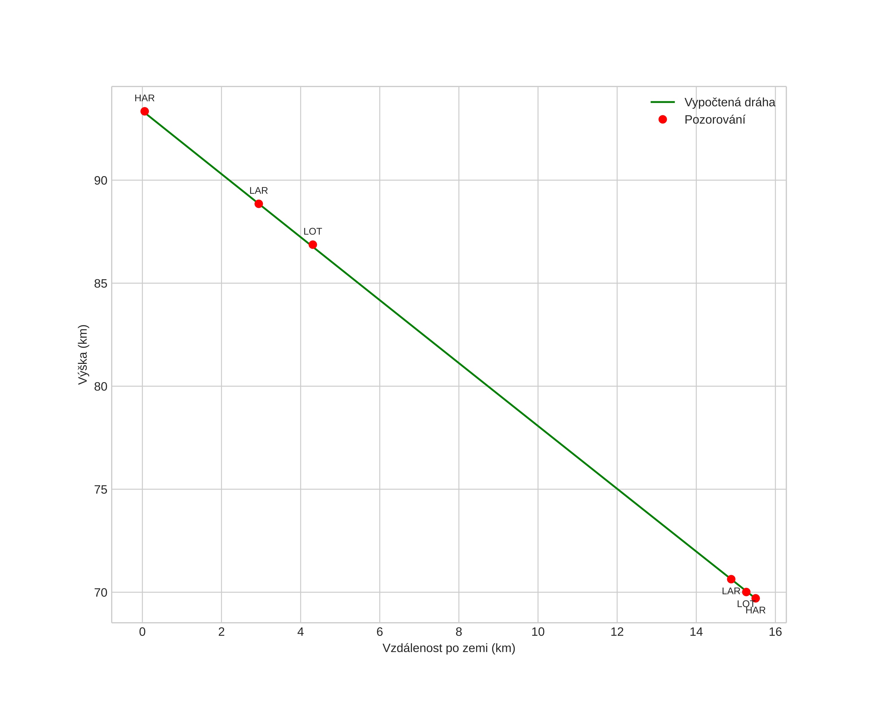
height profile
Atmosférická dráha meteoru:
Počáteční výška: 93,5 km
Konečná výška: 69,8 km
Počáteční poloha: 59,519N 8,413E
Konečná poloha: 59,558N 8,149E
Směr: 286,5°
Sklon: 56,8°
VstupnĂ­ rychlost: 28,5 km/s
Rektascenze radiantu: 04:12 (63,0°)
Deklinace radiantu: 38,9°
MeteorickĂ˝ roj: sporadickĂ˝
Elementy dráhy meteoroidu:
Vzdálenost v periheliu: 0,606 AU
Excentricita: 0,932
Sklon dráhy: 13,9°
Délka vzestupného uzlu: 251,8°
Argument perihelia: 258,3°
Střední anomálie: 358,6°
Epocha: 2024 DEC 03 19:52:37
orbit plot

NeinteraktivnĂ­ graf | InteraktivnĂ­ graf

position vs time
speed and acceleration