🇳🇴 🇬🇧 🇩🇪 🇨🇿 🇫🇮

Meteor, poloha: Smedjebacken 2024-12-03 20:37:05 UTC

Soubor KML  |  InteraktivnĂ­ mapa

Mapa zobrazuje dráhy meteoru. Světlejší čáry ukazují směry od pozorovacích stanic při objevení se meteoru a tmavší čáry, kde byl naposledy viděn. Modrá šipka značí viditelnou dráhu meteoru.

static map
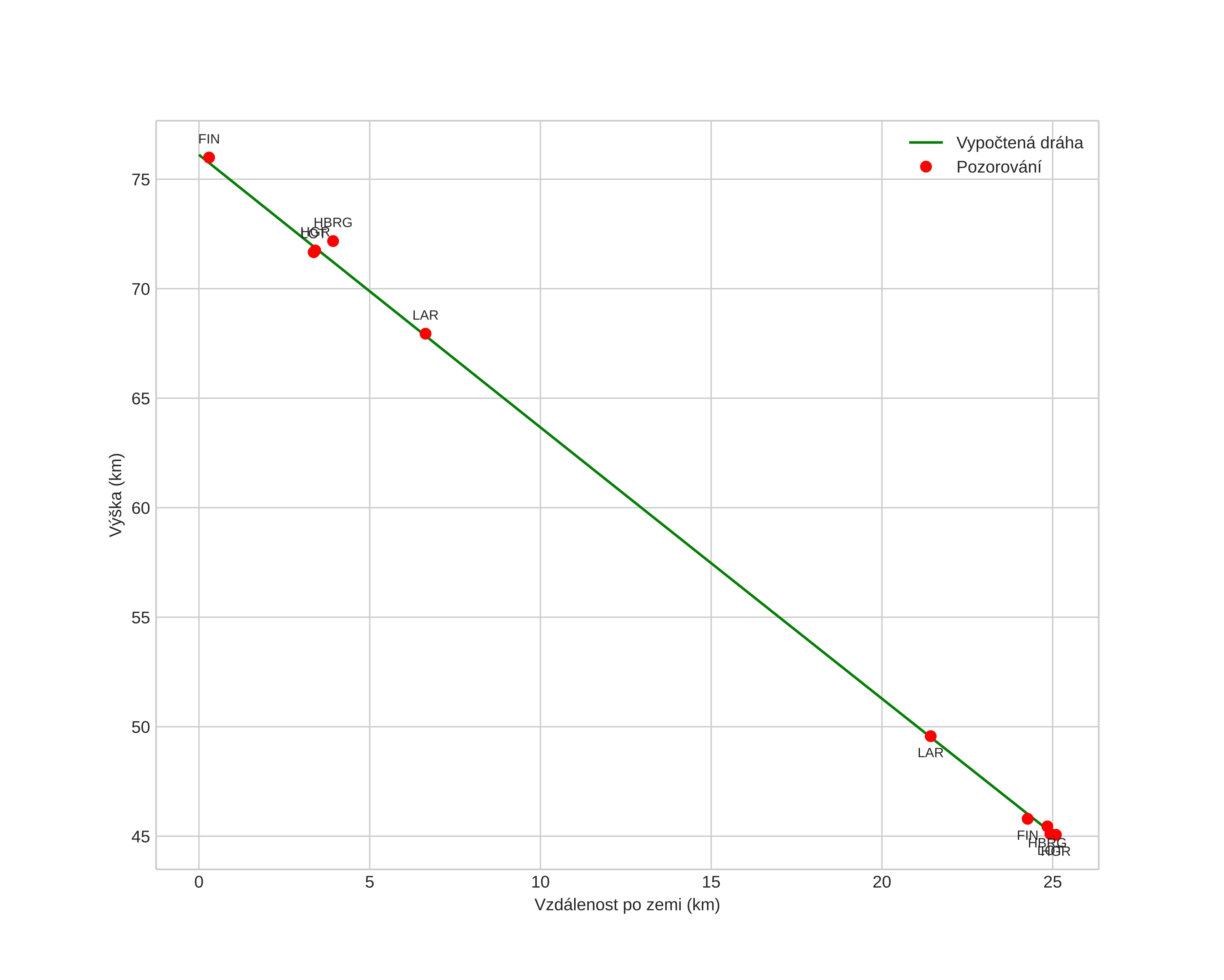
height profile
Atmosférická dráha meteoru:
Počáteční výška: 76,5 km
Konečná výška: 44,1 km
Počáteční poloha: 60,026N 14,889E
Konečná poloha: 60,024N 15,347E
Směr: 90,5°
Sklon: 51,8°
VstupnĂ­ rychlost: 15,3 km/s
Rektascenze radiantu: 22:09 (332,4°)
Deklinace radiantu: 36,9°
MeteorickĂ˝ roj: sporadickĂ˝
Elementy dráhy meteoroidu:
Vzdálenost v periheliu: 0,983 AU
Excentricita: 0,654
Sklon dráhy: 11,2°
Délka vzestupného uzlu: 251,8°
Argument perihelia: 186,1°
Střední anomálie: 359,0°
Epocha: 2024 DEC 03 20:37:05
orbit plot

NeinteraktivnĂ­ graf | InteraktivnĂ­ graf

position vs time
speed and acceleration