🇳🇴 🇬🇧 🇩🇪 🇨🇿 🇫🇮

Meteor, poloha: Ulvik 2024-12-04 05:54:37 UTC

Soubor KML  |  InteraktivnĂ­ mapa

Mapa zobrazuje dráhy meteoru. Světlejší čáry ukazují směry od pozorovacích stanic při objevení se meteoru a tmavší čáry, kde byl naposledy viděn. Modrá šipka značí viditelnou dráhu meteoru.

static map
height profile
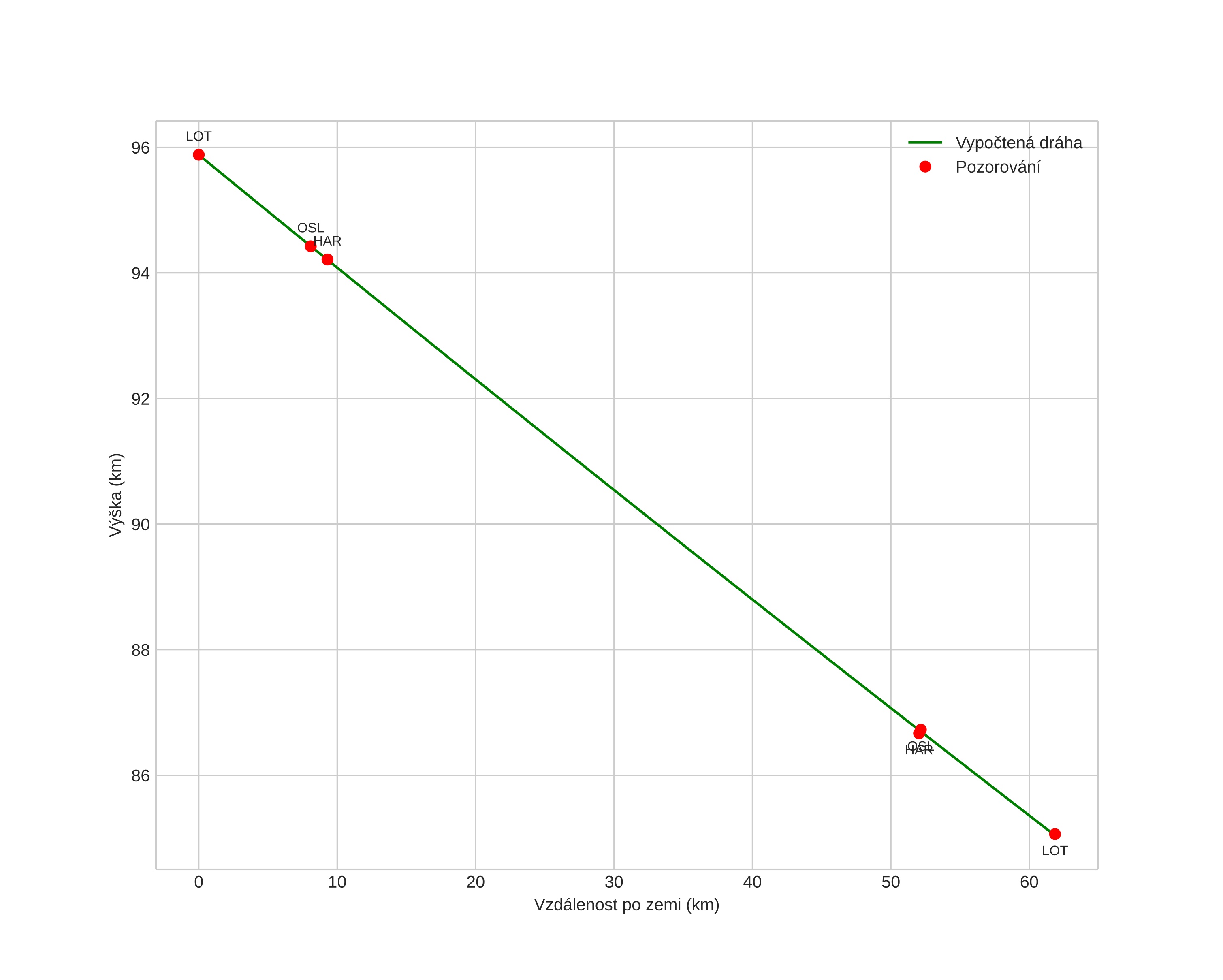
Atmosférická dráha meteoru:
Počáteční výška: 95,9 km
Konečná výška: 85,0 km
Počáteční poloha: 60,286N 7,879E
Konečná poloha: 60,622N 6,980E
Směr: 307,6°
Sklon: 10,0°
VstupnĂ­ rychlost: 51,2 km/s
Rektascenze radiantu: 14:48 (222,0°)
Deklinace radiantu: -9,5°
MeteorickĂ˝ roj: sporadickĂ˝
Elementy dráhy meteoroidu:
Vzdálenost v periheliu: 0,035 AU
Excentricita: 1,003
Sklon dráhy: 44,4°
Délka vzestupného uzlu: 252,2°
Argument perihelia: 22,2°
Střední anomálie: 0,9°
Epocha: 2024 DEC 04 05:54:37
orbit plot

NeinteraktivnĂ­ graf | InteraktivnĂ­ graf

position vs time
speed and acceleration