🇳🇴 🇬🇧 🇩🇪 🇨🇿 🇫🇮

Meteor, poloha: Tromsø 2024-12-04 18:00:54 UTC

Soubor KML  |  InteraktivnĂ­ mapa

Mapa zobrazuje dráhy meteoru. Světlejší čáry ukazují směry od pozorovacích stanic při objevení se meteoru a tmavší čáry, kde byl naposledy viděn. Modrá šipka značí viditelnou dráhu meteoru.

static map
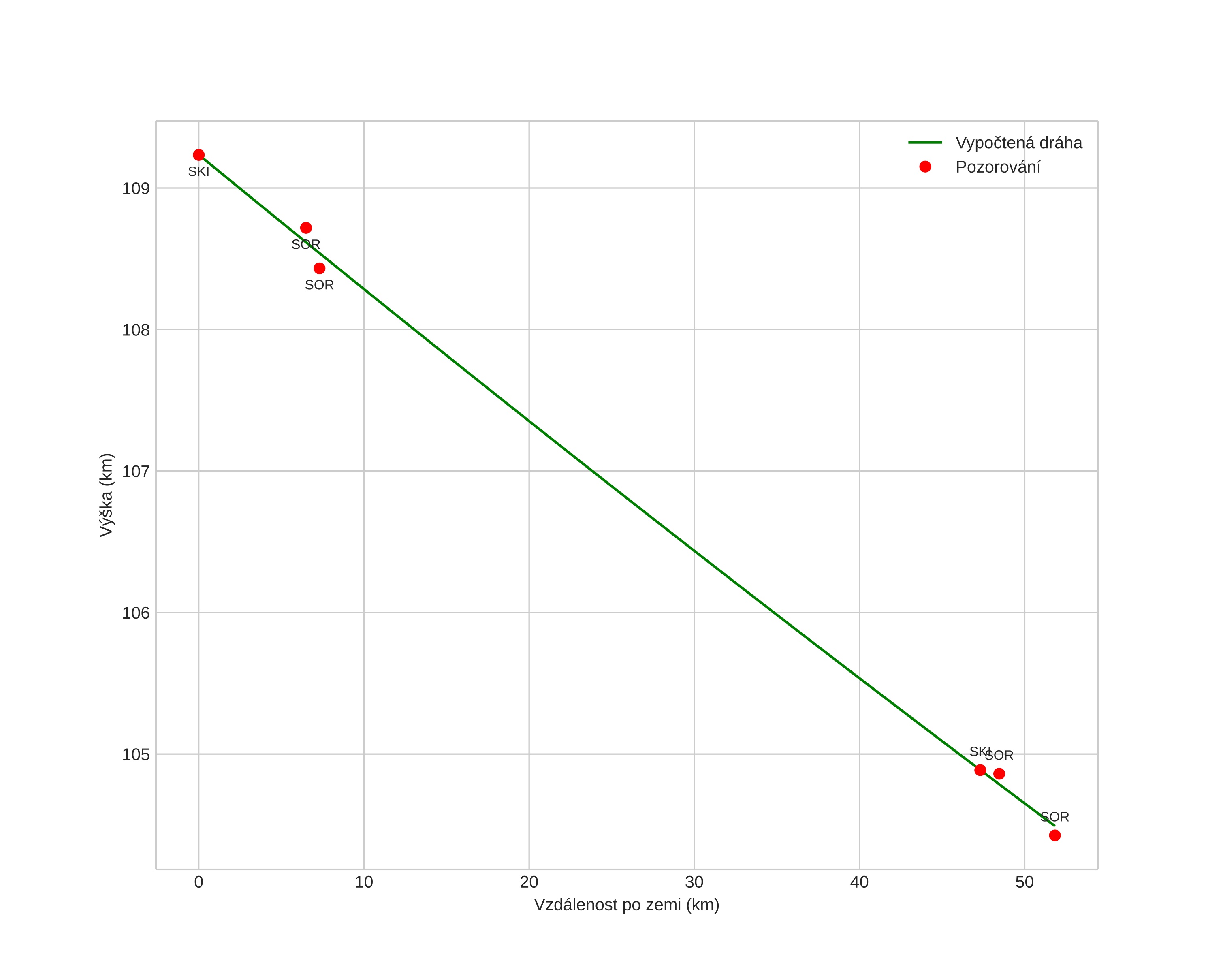
height profile
Atmosférická dráha meteoru:
Počáteční výška: 104,2 km
Konečná výška: 108,8 km
Počáteční poloha: 69,679N 20,235E
Konečná poloha: 69,695N 18,903E
Směr: 272,6°
Sklon: -5,1°
VstupnĂ­ rychlost: 40,2 km/s
Rektascenze radiantu: 06:17 (94,3°)
Deklinace radiantu: -8,1°
MeteorickĂ˝ roj: sporadickĂ˝
Elementy dráhy meteoroidu:
Vzdálenost v periheliu: 0,406 AU
Excentricita: 0,933
Sklon dráhy: 48,4°
Délka vzestupného uzlu: 72,7°
Argument perihelia: 102,5°
Střední anomálie: 357,4°
Epocha: 2024 DEC 04 18:00:54
orbit plot

NeinteraktivnĂ­ graf | InteraktivnĂ­ graf

position vs time
speed and acceleration