🇳🇴 🇬🇧 🇩🇪 🇨🇿 🇫🇮

Meteor Frydenbergin yllä 2024-12-08 16:04:14 UTC

KML-tiedosto  |  Interaktiivinen kartta

Kartta näyttää meteorin suuntahavainnot. Vaaleammat viivat näyttävät suunnat havaintoasemilta meteorin ilmestyessä, ja tummemmat viivat näyttävät, missä se viimeksi nähtiin. Sininen nuoli näyttää meteorin näkyvän lennon.

static map
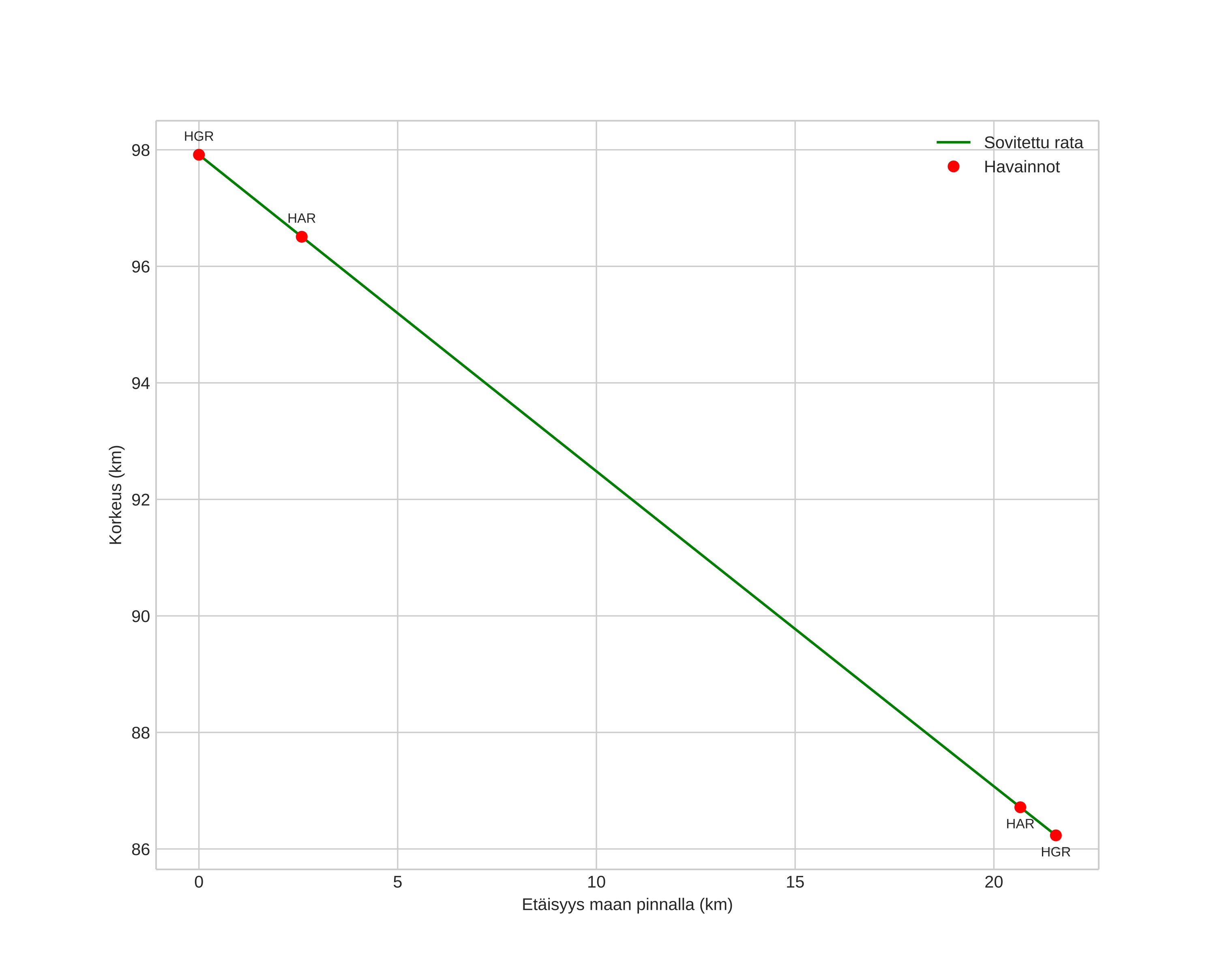
height profile
Meteorin ilmakehärata:
Alkukorkeus: 97,8 km
Loppukorkeus: 86,3 km
Alkupiste: 59,896N 10,411E
Loppupiste: 59,954N 10,775E
Suunta: 72,1°
Kallistuskulma: 28,4°
Tulonopeus: 26,3 km/s
Radiantin R,A,: 17:46 (266,5°)
Radiantin Dekl,: 13,0°
Meteoriparvi: Sporadinen
Meteoroidin rataelementit:
Perihelietäisyys: 0,760 AU
Eksentrisyys: 0,887
Inklinaatio: 23,2°
Nousevan solmun pituus: 256,7°
Perihelin argumentti: 121,0°
Keskianomalia: 2,0°
Epookki: 2024 DEC 08 16:04:14
orbit plot

Ei-interaktiivinen kuvaaja | Interaktiivinen kuvaaja

position vs time
speed and acceleration