🇳🇴 🇬🇧 🇩🇪 🇨🇿 🇫🇮

Meteor, poloha: Innbygda 2024-12-08 16:23:07 UTC

Soubor KML  |  InteraktivnĂ­ mapa

Mapa zobrazuje dráhy meteoru. Světlejší čáry ukazují směry od pozorovacích stanic při objevení se meteoru a tmavší čáry, kde byl naposledy viděn. Modrá šipka značí viditelnou dráhu meteoru.

static map
height profile
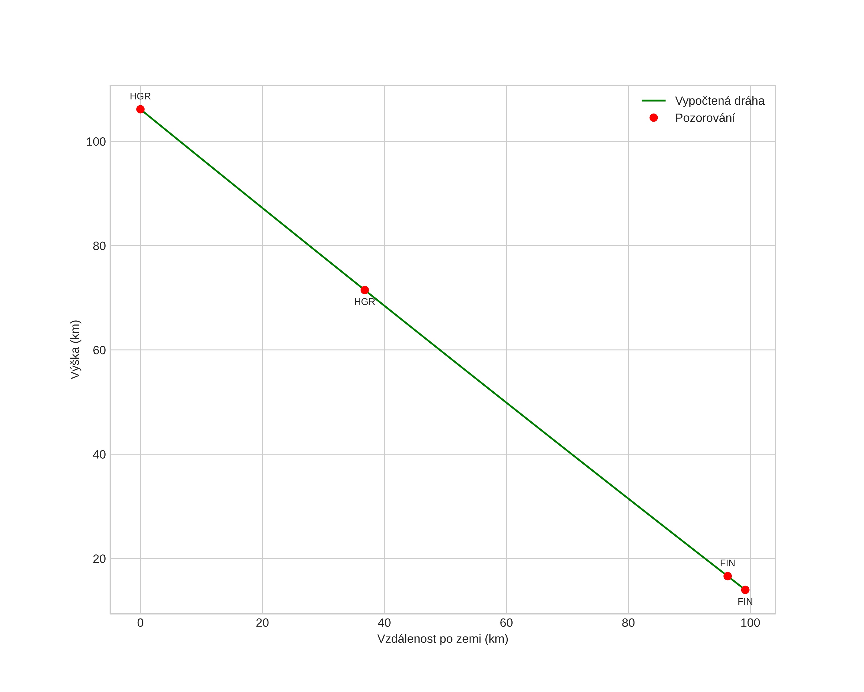
Atmosférická dráha meteoru:
Počáteční výška: 105,4 km
Konečná výška: 14,4 km
Počáteční poloha: 60,795N 13,992E
Konečná poloha: 61,208N 12,370E
Směr: 298,4°
Sklon: 42,6°
VstupnĂ­ rychlost: 3,0 km/s
orbit plot
position vs time
speed and acceleration