🇳🇴 🇬🇧 🇩🇪 🇨🇿 🇫🇮

Meteor, poloha: Dokka 2024-12-08 18:14:09 UTC

Soubor KML  |  InteraktivnĂ­ mapa

Mapa zobrazuje dráhy meteoru. Světlejší čáry ukazují směry od pozorovacích stanic při objevení se meteoru a tmavší čáry, kde byl naposledy viděn. Modrá šipka značí viditelnou dráhu meteoru.

static map
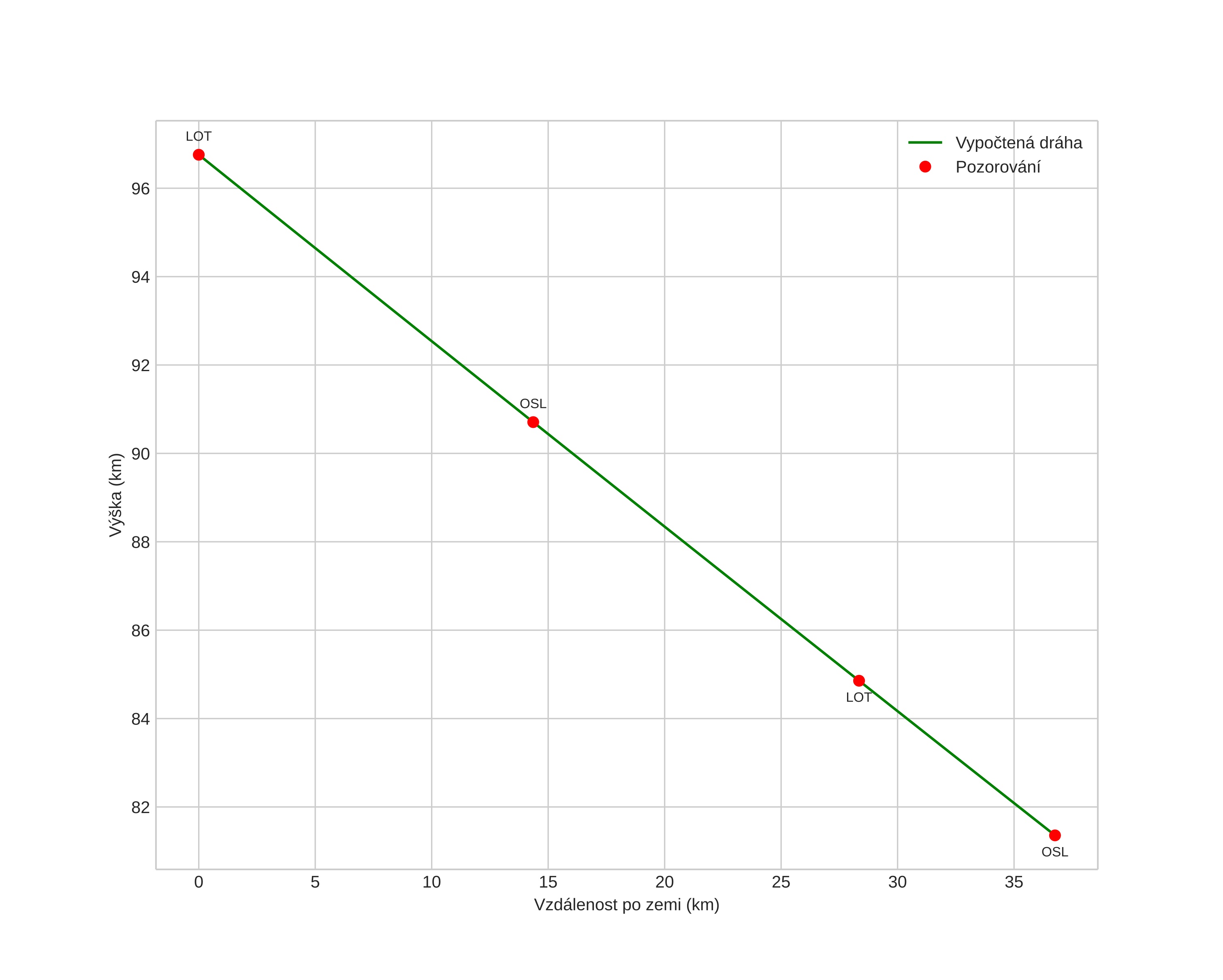
height profile
Atmosférická dráha meteoru:
Počáteční výška: 97,0 km
Konečná výška: 81,0 km
Počáteční poloha: 60,723N 10,633E
Konečná poloha: 60,734N 9,961E
Směr: 272,2°
Sklon: 23,7°
VstupnĂ­ rychlost: 25,7 km/s
Rektascenze radiantu: 05:18 (79,7°)
Deklinace radiantu: 16,2°
MeteorickĂ˝ roj: SevernĂ­ Tauridy
Elementy dráhy meteoroidu:
Vzdálenost v periheliu: 0,530 AU
Excentricita: 0,744
Sklon dráhy: 5,4°
Délka vzestupného uzlu: 76,8°
Argument perihelia: 94,7°
Střední anomálie: 345,0°
Epocha: 2024 DEC 08 18:14:09
orbit plot

NeinteraktivnĂ­ graf | InteraktivnĂ­ graf

position vs time
speed and acceleration