🇳🇴 🇬🇧 🇩🇪 🇨🇿 🇫🇮

Meteor, poloha: Rødberg 2024-12-08 18:35:59 UTC

Soubor KML  |  InteraktivnĂ­ mapa

Mapa zobrazuje dráhy meteoru. Světlejší čáry ukazují směry od pozorovacích stanic při objevení se meteoru a tmavší čáry, kde byl naposledy viděn. Modrá šipka značí viditelnou dráhu meteoru.

static map
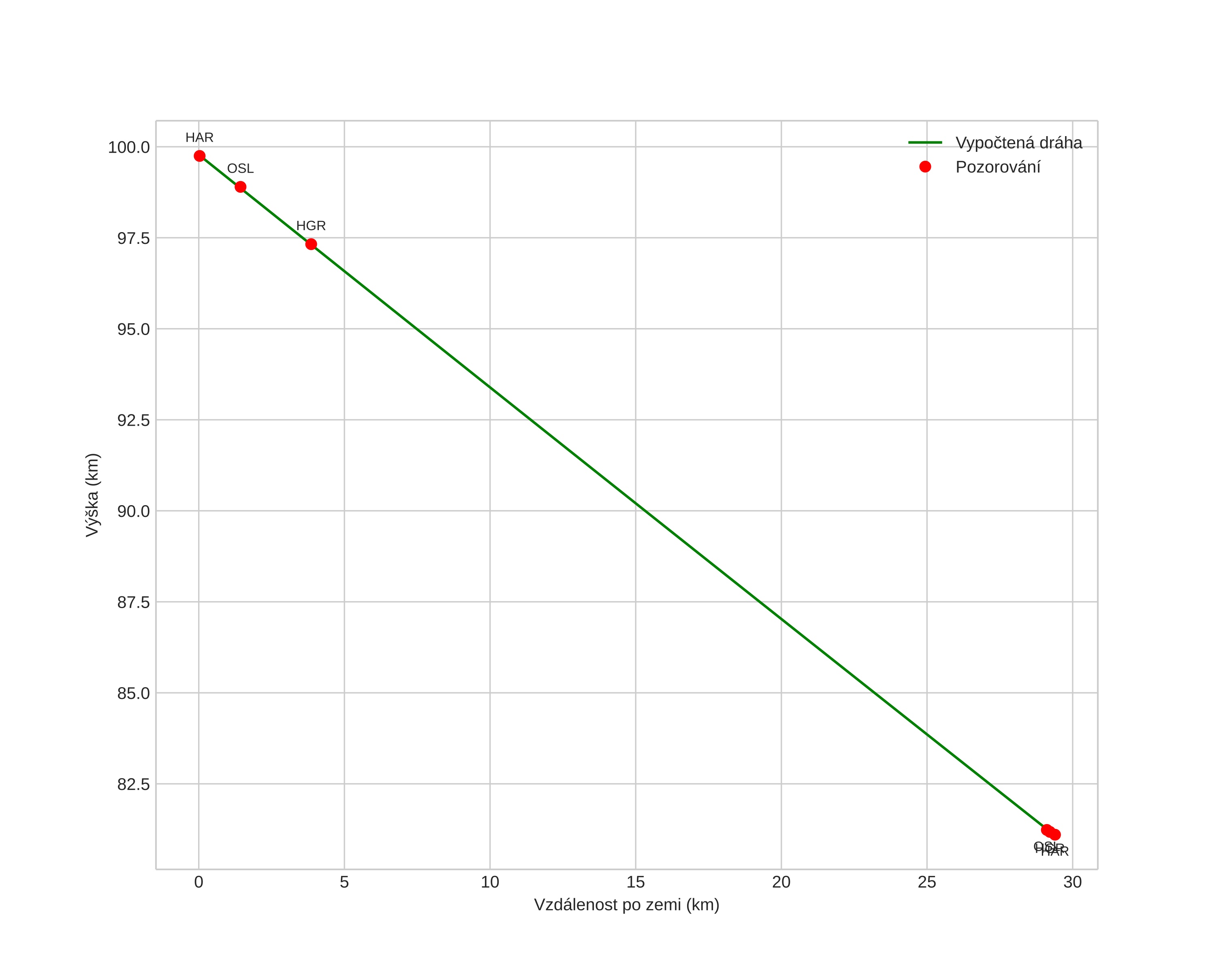
height profile
Atmosférická dráha meteoru:
Počáteční výška: 99,0 km
Konečná výška: 80,8 km
Počáteční poloha: 60,494N 8,771E
Konečná poloha: 60,229N 8,817E
Směr: 175,0°
Sklon: 31,5°
VstupnĂ­ rychlost: 45,3 km/s
Rektascenze radiantu: 12:58 (194,6°)
Deklinace radiantu: 60,0°
MeteorickĂ˝ roj: sporadickĂ˝
Elementy dráhy meteoroidu:
Vzdálenost v periheliu: 0,961 AU
Excentricita: 0,627
Sklon dráhy: 79,0°
Délka vzestupného uzlu: 256,8°
Argument perihelia: 200,3°
Střední anomálie: 356,3°
Epocha: 2024 DEC 08 18:35:59
orbit plot

NeinteraktivnĂ­ graf | InteraktivnĂ­ graf

position vs time
speed and acceleration