🇳🇴 🇬🇧 🇩🇪 🇨🇿 🇫🇮

Meteor, poloha: Engerdal 2024-12-08 18:39:29 UTC

Soubor KML

Mapa zobrazuje dráhy meteoru. Světlejší čáry ukazují směry od pozorovacích stanic při objevení se meteoru a tmavší čáry, kde byl naposledy viděn. Modrá šipka značí viditelnou dráhu meteoru.

static map
height profile
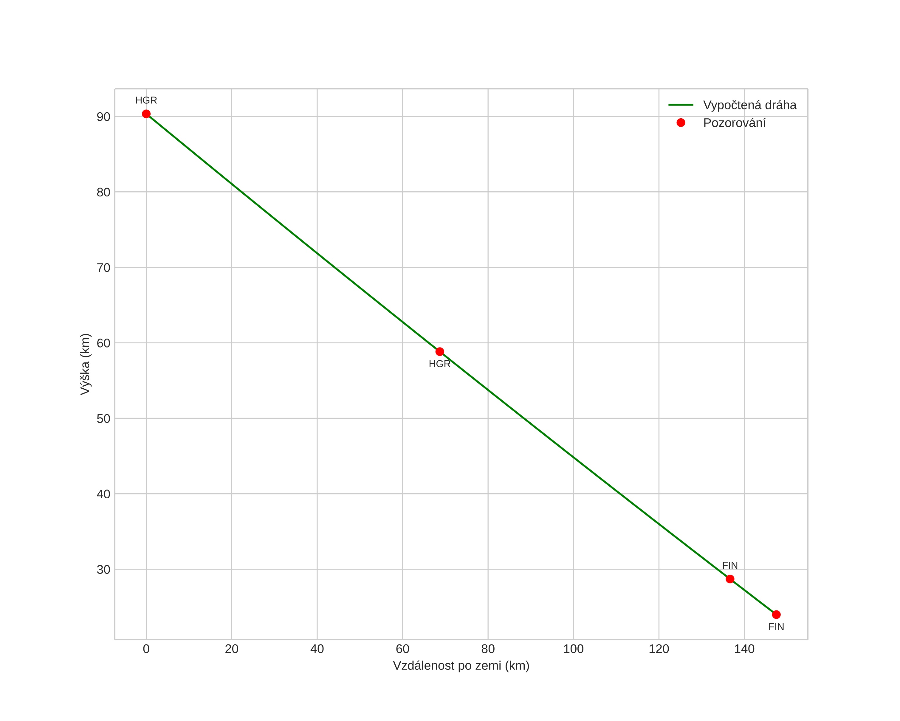
Atmosférická dráha meteoru:
Počáteční výška: 90,3 km
Konečná výška: 24,0 km
Počáteční poloha: 61,981N 14,243E
Konečná poloha: 61,576N 11,572E
Směr: 253,4°
Sklon: 24,2°
VstupnĂ­ rychlost: 73,0 km/s
Rektascenze radiantu: 06:57 (104,3°)
Deklinace radiantu: 28,7°
MeteorickĂ˝ roj: sporadickĂ˝
Elementy dráhy meteoroidu:
Vzdálenost v periheliu: 0,029 AU
Excentricita: 1,080
Sklon dráhy: 96,7°
Délka vzestupného uzlu: 256,8°
Argument perihelia: 330,4°
Střední anomálie: -94,1°
Epocha: 2024 DEC 08 18:39:29
orbit plot

NeinteraktivnĂ­ graf

position vs time
speed and acceleration